【药物名称】
化学结构式(Chemical Structure):
参考文献No.650875
标题:Identification of potent and selective mechanism-based inhibitors of the cysteine protease cruzain using solid-phase parallel synthesis
作者:Huang, L. ; Lee, A.; Ellman, J.A.
来源:J Med Chem 2002,45(3),676
合成路线图解说明:

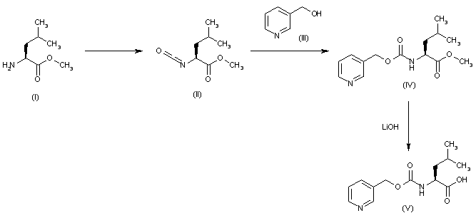
The intermediate N-(pyridin-3-ylmethoxycarbonyl)-L-leucine (V) has been obtained as follows: L-Leucine methyl ester (I) was converted into the isocyanate (II) by conventional methods, and the resulting compound was condensed with 3-pyridylmethanol (III) to yield the N-acylated leucine methyl ester (IV). Finally, this compound was hydrolyzed with LiOH to afford the desired intermediate N-(pyridin-3-ylmethoxycarbonyl)-L-leucine (V).

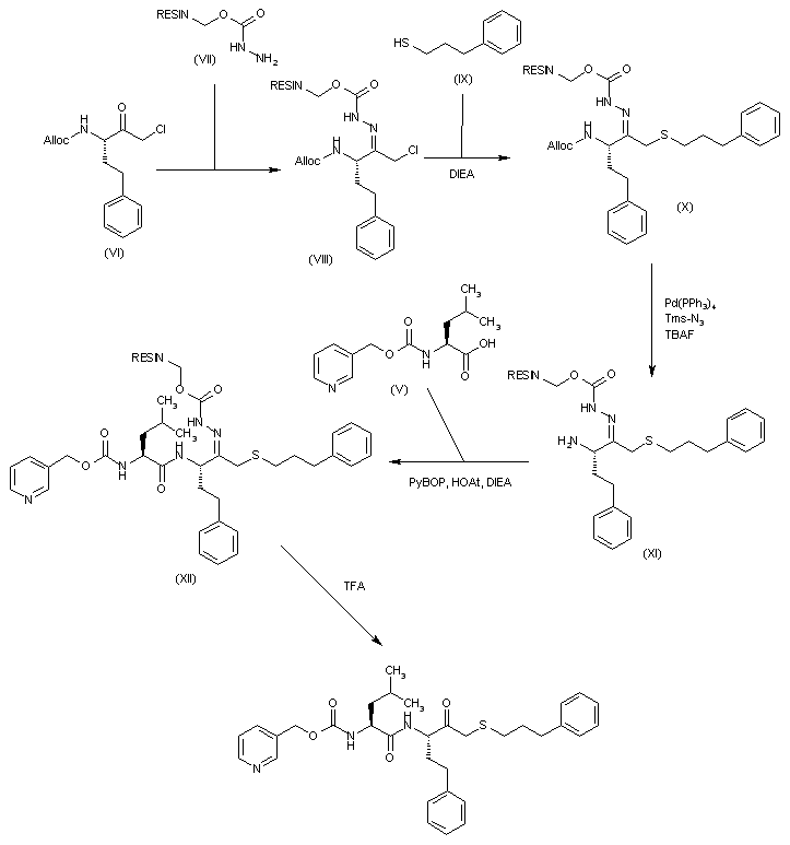
合成路线图解说明:

3(S)-(Allyloxycarbonylamino)-1-chloro-5-phenyl-2-pentanone (VI) is linked to a carbazate resin (VII) to yield the resin-supported compound (VIII) suitable for solid-phase synthesis. The condensation of (VIII) with 3-phenylpropylmercaptan (IX) by means of DIEA in DMF affords the adduct (X), which is deprotected at the allyloxycarbonylamino group by means of Pd(PPh3)4 to provide the amino resin (XI). The condensation of (XI) with the previously described intermediate (V) by means of PyBOP, HOAt and DIEA in DMF gives dipeptide resin (XII). Finally, the cleavage of the target compound from the resin (XII) is performed by means of TFA in trifluoroethanol/water.

Drug Information Express,Drug R&D,Chemical Database,Patent Search.
Copyright © 2006-2026 Drug Future. All rights reserved.Contact Us