【药物名称】UK-294315
化学结构式(Chemical Structure):
参考文献No.33747
标题:Quinoline and quinazoline cpds. useful in therapy
作者:Collis, A.J.; Fox, D.N.A.; Newman, J. (Pfizer Inc.)
来源:EP 0877734; JP 1999501668; US 6103738; WO 9723462
合成路线图解说明:

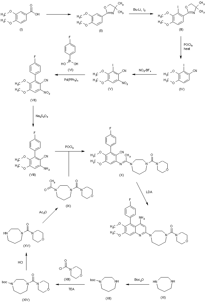
3,4-Dimethoxybenzoic acid (I) is converted into oxazoline (II) by known methods. This compound is treated with BuLi and I2 in ethyl ether to yield the 2-iodo derivative (III), which is treated with POCl3 in hot pyridine to afford 2-iodo-3,4-dimethoxybenzonitrile (IV). The nitration of (IV) by means of nitronium tetrafluoroborate in acetonitrile provides 2-iodo-3,4-dimethoxy-6-nitrobenzonitrile (V), which is condensed with 4-fluorophenylboronic acid (VI) by means of Pd(PPh3)4 in toluene/ethanol to give the biphenyl derivative (VII). The reduction of the nitro group of (VII) by means of sodium dithionite in DMF/water yields the corresponding amino derivative (VIII), which is condensed with 1-acetyl-4-(morpholin-4-ylcarbonyl)perhydro-1,4-diazepine (IX) by means of POCl3 in dichloromethane to afford the adduct (X). Finally, this compound is cyclized by means of LDA in THF to provide the target quinoline derivative. The intermediate 1-acetyl-4-(morpholin-4-ylcarbonyl)perhydro-1,4-diazepine (IX) has been obtained as follows: The reaction of perhydro-1,4-diazepine (XI) with Boc2O in dichloromethane gives the monoprotected diazepine (XII), which is condensed with morpholin-4-yl-carbonyl chloride (XIII) by means of TEA in dichloromethane to yield the acylated diazepine (XIV). The deprotection of (XIV) by means of HCl in dichloromethane/methanol affords the deprotected diazepine (XV), which is finally acylated with acetic anhydride and TEA in dichloromethane to provide the target intermediate (IX).

Drug Information Express,Drug R&D,Chemical Database,Patent Search.
Copyright © 2006-2026 Drug Future. All rights reserved.Contact Us