【药物名称】HPH-Pep
化学结构式(Chemical Structure):
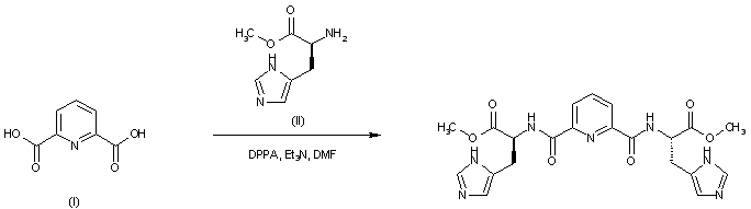
参考文献No.651331
标题:An artificial Cu(II) complex with intriguing oxygen radical-quenching profile. X-ray structure, cytochrome c assay, and ESR study
作者:Otsuka, M.; Satake, H.; Murakami, S.; Doi, M.; Ishida, T.; Shibasaki, M.; Sugiura, Y.
来源:Bioorg Med Chem 1996,4(10),1703
合成路线图解说明:

The title compound has been prepared by two related procedures. 2,6-Pyridinedicarboxylic acid (I) was condensed with L-histidine methyl ester (II) using diphenyl phosphoryl azide as the coupling reagent to afford the target diamide.

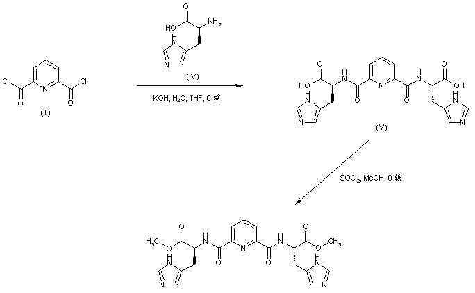
参考文献No.661984
标题:Synthesis of new chiral macrocyclic tetraoxo polyamines containing pyridine ring and functional arms
作者:You, J.; et al.
来源:Synth Commun 1999,29(14),2447
合成路线图解说明:

In an alternative process, acid chloride (III) was condensed with histidine (IV) in the presence of KOH in H2O/THF producing de diamide diacid (V), which was then esterified by treatment with SOCl2 in cold methanol.

Drug Information Express,Drug R&D,Chemical Database,Patent Search.
Copyright © 2006-2026 Drug Future. All rights reserved.Contact Us