【药物名称】
化学结构式(Chemical Structure):
参考文献No.49409
标题:Gallotannins and ellagitannins as regulators of cytokine release
作者:Feldman, K.S. (Penn State Research Foundation)
来源:WO 0136436
合成路线图解说明:

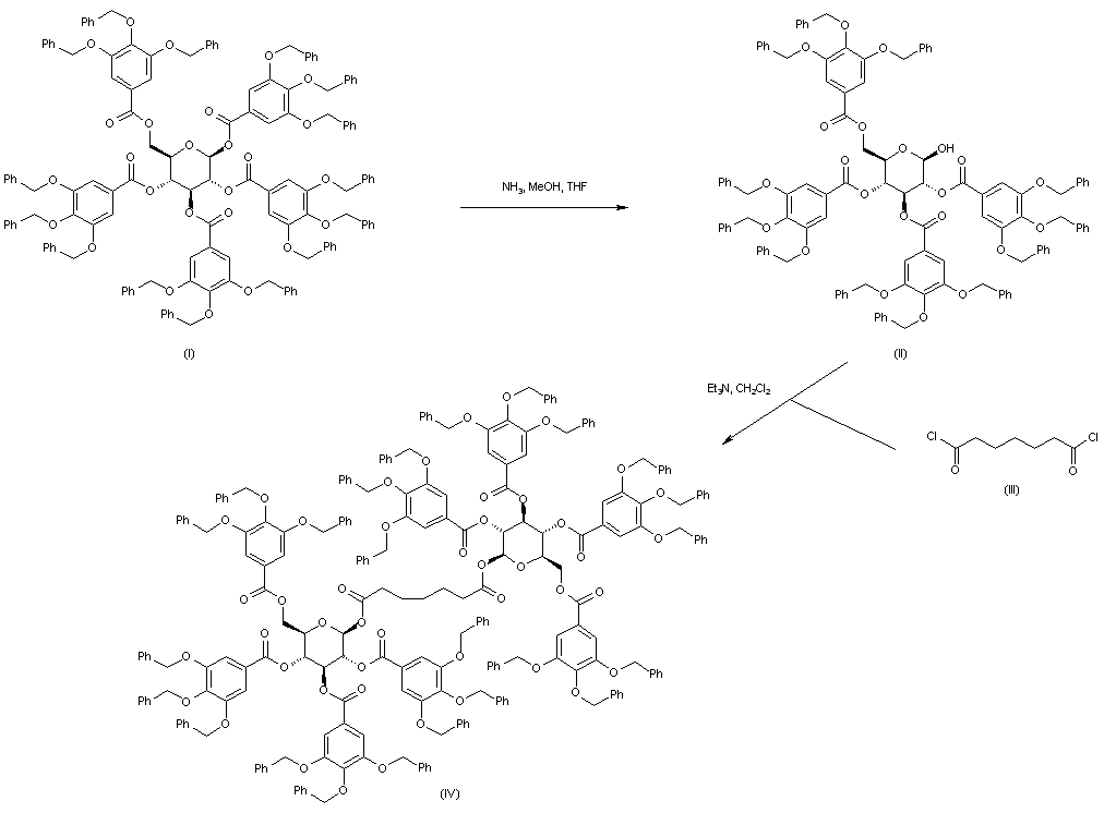
Selective hydrolysis of the 1-ester group of per-O-benzyl pentagalloylglucopyranose (I) by means of ammonia in MeOH-THF produced the pentagalloyl derivative (II). Coupling of (II) with pimeloyl chloride (III) yielded the bis-glucopyranosyl pimelate ester (IV).

合成路线图解说明:

The O-benzyl protecting groups of (IV) were removed by catalytic hydrogenation over Pd/C to produce the title compound.

参考文献No.650894
标题:In vitro and in vivo inhibition of LPS-induced tumor necrosis factor-alpha production by dimeric gallotannin analogues
作者:Feldman, K.S.; Wilson, S.L.; Lawlor, M.D.; Lang, C.H.; Scheuchenzuber, W.J.
来源:Bioorg Med Chem 2002,10(1),47
合成路线图解说明:

Selective hydrolysis of the 1-ester group of per-O-benzyl pentagalloylglucopyranose (I) by means of ammonia in MeOH-THF produced the pentagalloyl derivative (II). Coupling of (II) with pimeloyl chloride (III) yielded the bis-glucopyranosyl pimelate ester (IV).

合成路线图解说明:

The O-benzyl protecting groups of (IV) were removed by catalytic hydrogenation over Pd/C to produce the title compound.

Drug Information Express,Drug R&D,Chemical Database,Patent Search.
Copyright © 2006-2026 Drug Future. All rights reserved.Contact Us