【药物名称】
化学结构式(Chemical Structure):
参考文献No.650893
标题:Quinuclidinone O-alkynyloximes with muscarinic agonist activity
作者:Somanadhan, B.; Loke, W.-K.; Sim, M.-K.; Go, M.-L.
来源:Bioorg Med Chem 2002,10(1),207
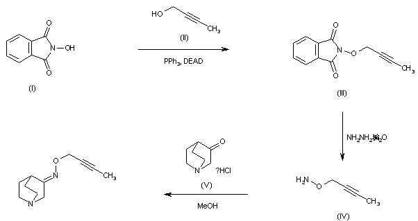
合成路线图解说明:

N-(2-Butynyloxy)phthalimide (III) was obtained by the Mitsunobu coupling between 2-butyn-1-ol (II) and N-hydroxyphthalimide (I). Subsequent hydrazinolysis of (III) gave the O-alkynyl hydroxylamine (IV). This was finally condensed with quinuclidin-3-one (V) in methanol to furnish the corresponding oxime.

Drug Information Express,Drug R&D,Chemical Database,Patent Search.
Copyright © 2006-2026 Drug Future. All rights reserved.Contact Us