【药物名称】FR-137316
化学结构式(Chemical Structure):
参考文献No.19508
标题:Quinoline derivs.
作者:Matsuo, M.; Tsuji, K.; Nakamura, K.; Spears, G.W. (Fujisawa Pharmaceutical Co., Ltd.)
来源:EP 0639182; JP 1994506925; WO 9218483
合成路线图解说明:

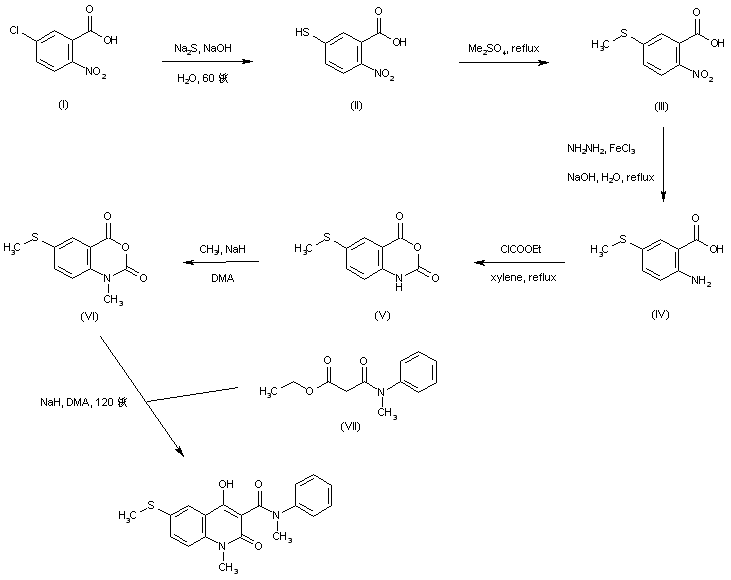
Nucleophilic displacement of 5-chloro-2-nitrobenzoic acid (I) with sodium sulfide produced thiol (II), which was further alkylated with dimethyl sulfate to furnish the methyl thioether (III). Nitro group reduction in (III) to yield 5-(methylthio)anthranilic acid (IV) was accomplished by treatment with hydrazine in the presence of FeCl3. The isatoic anhydride (V) was then prepared by treatment of anthranilic acid (IV) with either phosgene or ethyl chloroformate. Alkylation of benzoxazinedione (V) with iodomethane and NaH gave the N-methyl derivative (VI). The title compound was finally obtained by condensation of (VI) with the sodium enolate of malonic mono-amide (VII).

参考文献No.650616
标题:Synthesis and antinephritic activities of quinoline-3-carboxamides and related compounds
作者:Tsuji, K.; Spears, G.W.; Nakamura, K.; Tojo, T.; Seki, N.; Sugiyama, A.; Matsuo, M.
来源:Bioorg Med Chem Lett 2002,12(1),85
合成路线图解说明:

Nucleophilic displacement of 5-chloro-2-nitrobenzoic acid (I) with sodium sulfide produced thiol (II), which was further alkylated with dimethyl sulfate to furnish the methyl thioether (III). Nitro group reduction in (III) to yield 5-(methylthio)anthranilic acid (IV) was accomplished by treatment with hydrazine in the presence of FeCl3. The isatoic anhydride (V) was then prepared by treatment of anthranilic acid (IV) with either phosgene or ethyl chloroformate. Alkylation of benzoxazinedione (V) with iodomethane and NaH gave the N-methyl derivative (VI). The title compound was finally obtained by condensation of (VI) with the sodium enolate of malonic mono-amide (VII).

Drug Information Express,Drug R&D,Chemical Database,Patent Search.
Copyright © 2006-2026 Drug Future. All rights reserved.Contact Us