【药物名称】
化学结构式(Chemical Structure):
参考文献No.650615
标题:New readily accessible peroxides with high anti-malarial potency
作者:Murakami, N.; Kawanishi, M.; Itagaki, S.; Horii, T.; Kobayashi, M.
来源:Bioorg Med Chem Lett 2002,12(1),69
合成路线图解说明:

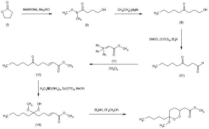
Treatment of gamma-butyrolactone (I) with N,O-dimethylhydroxylamine in the presence of dimethylaluminium chloride afforded the corresponding Weinreb amide (II), which was converted to the keto-alcohol (III) by addition of pentylmagnesium bromide. Swern oxidation of alcohol (III), followed by Wittig reaction of the resultant aldehyde (IV) with (methoxycarbonylmethylene)triphenylphosphorane (V), provided the unsaturated keto ester (VI). Subsequent scandium triflate-mediated peroxyhemiacetalyzation of ketone (VI) gave rise to (VII). Then, intramolecular Michael addition of the hydroperoxy ester (VII) in the presence of diethylamine generated the target cyclic peroxide.

Drug Information Express,Drug R&D,Chemical Database,Patent Search.
Copyright © 2006-2026 Drug Future. All rights reserved.Contact Us