【药物名称】
化学结构式(Chemical Structure):
参考文献No.650612
标题:Non-peptide alphavbeta3 antagonists. Part 3: Identification of potent RGD mimetics incorporating novel beta-amino acids as aspartic acid replacements
作者:Brashear, K.M.; Coleman, P.J.; Hunt, C.A.; Hoffman, W.F.; Hutchinson, J.H.; Breslin, M.J.; McVean, C.A.; Askew, B.C.; Hartman, G.D.; Rodan, S.B.; Rodan, G.A.; Leu, C.T.; Prueksaritanont, T.; Fernandez-Metzler, C.; Ma, B.; Libby, L.A.; et al.
来源:Bioorg Med Chem Lett 2002,12(1),31
合成路线图解说明:

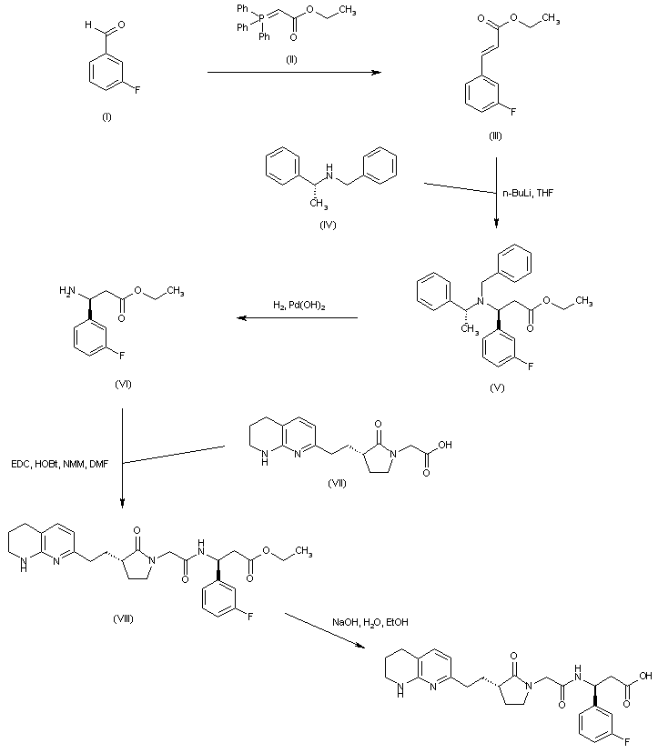
Ethyl 3-fluorocinnamate (III) was prepared by Wittig condensation of 3-fluorobenzaldehyde (I) with phosphorane (II). Conjugate addition of (R)-N-benzyl-alpha-methylbenzylamine (IV) to the unsaturated ester (III) furnished the chiral amino ester (V). The primary amine (VI) was then obtained by hydrogenolysis of the N-benzyl groups in the presence of palladium hydroxyde. Coupling of the known pyrrolidinoneacetic acid (VII) to the amino ester (VI) by means of EDC/HOBt afforded amide (VIII). Finally, saponification of the ethyl ester group of (VIII) led to the corresponding carboxylic acid.

Drug Information Express,Drug R&D,Chemical Database,Patent Search.
Copyright © 2006-2026 Drug Future. All rights reserved.Contact Us