【药物名称】DA-7867
化学结构式(Chemical Structure):
参考文献No.52769
标题:Novel oxazolidinone derivs. and a process for the preparation thereof
作者:Lee, J.-G.; Lee, J.-J.; Park, S.-K.; Lee, T.-H.; Leem, W.-B.; Cho, J.-H.; Choi, S.-H.; Kim, D.-G.; Sung, H.-J. (Dong-A Pharmaceutical Co., Ltd.)
来源:WO 0194342
合成路线图解说明:

Reaction of 3-fluoroaniline (I) with benzyl chloroformate provides carbamate (II). The lithium derivative of (II) is then condensed with (R)-glycidyl butyrate (III) to yield the chiral oxazolidinone (IV). After conversion of alcohol (IV) to the corresponding mesylate (V), displacement with NaN3 in hot DMF gives rise to the alkyl azide (VI). Catalytic hydrogenation of azide (VI) furnishes amine (VII), which is further acylated with acetic anhydride, producing acetamide (VIII). Aromatic iodination of (VIII) by means of iodine monochloride in the presence of trifluoroacetic acid gives (IX). Iodide compound (IX) is then converted into the aryl stannane (X) upon treatment with hexamethyl ditin and palladium catalyst

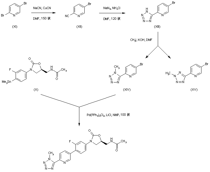
合成路线图解说明:

Treatment of 2,5-dibromopyridine (XI) with NaCN/CuCN gives rise to nitrile (XII). Cycloaddition of NaN3 to the cyano group of (XII) then leads to the tetrazolyl pyridine (XIII) (1). Further methylation of tetrazole (XIII) with iodomethane and KOH produces a mixture of methylated regioisomers (XIV) and (XV). The desired 2-methyl tetrazole derivative (XIV) is finally subjected to Stille coupling with the aryl stannane (X) to furnish the title compound

参考文献No.693334
标题:In vitro and in vivo studies of hetero-ring substituted pyridine containing oxazolidinone derivatives, including DA-7867
作者:Im, W.; Lee, T.; Cho, J.; Choi, S.; Rhee, J.
来源:42nd Intersci Conf Antimicrob Agents Chemother (Sept 27 2002, San Diego) 2002,Abst F-1311
合成路线图解说明:

Reaction of 3-fluoroaniline (I) with benzyl chloroformate provides carbamate (II). The lithium derivative of (II) is then condensed with (R)-glycidyl butyrate (III) to yield the chiral oxazolidinone (IV). After conversion of alcohol (IV) to the corresponding mesylate (V), displacement with NaN3 in hot DMF gives rise to the alkyl azide (VI). Catalytic hydrogenation of azide (VI) furnishes amine (VII), which is further acylated with acetic anhydride, producing acetamide (VIII). Aromatic iodination of (VIII) by means of iodine monochloride in the presence of trifluoroacetic acid gives (IX). Iodide compound (IX) is then converted into the aryl stannane (X) upon treatment with hexamethyl ditin and palladium catalyst

合成路线图解说明:

Treatment of 2,5-dibromopyridine (XI) with NaCN/CuCN gives rise to nitrile (XII). Cycloaddition of NaN3 to the cyano group of (XII) then leads to the tetrazolyl pyridine (XIII) (1). Further methylation of tetrazole (XIII) with iodomethane and KOH produces a mixture of methylated regioisomers (XIV) and (XV). The desired 2-methyl tetrazole derivative (XIV) is finally subjected to Stille coupling with the aryl stannane (X) to furnish the title compound

Drug Information Express,Drug R&D,Chemical Database,Patent Search.
Copyright © 2006-2026 Drug Future. All rights reserved.Contact Us