【药物名称】
化学结构式(Chemical Structure):
参考文献No.650634
标题:N-Methylbenzanilide derivatives as a novel class of selective V1A receptor antagonists
作者:Kakefuda, A.; Tsukada, J.; Kusayama, T.; Tahara, A.; Tsukamoto, S.-I.
来源:Bioorg Med Chem Lett 2002,12(2),229
合成路线图解说明:

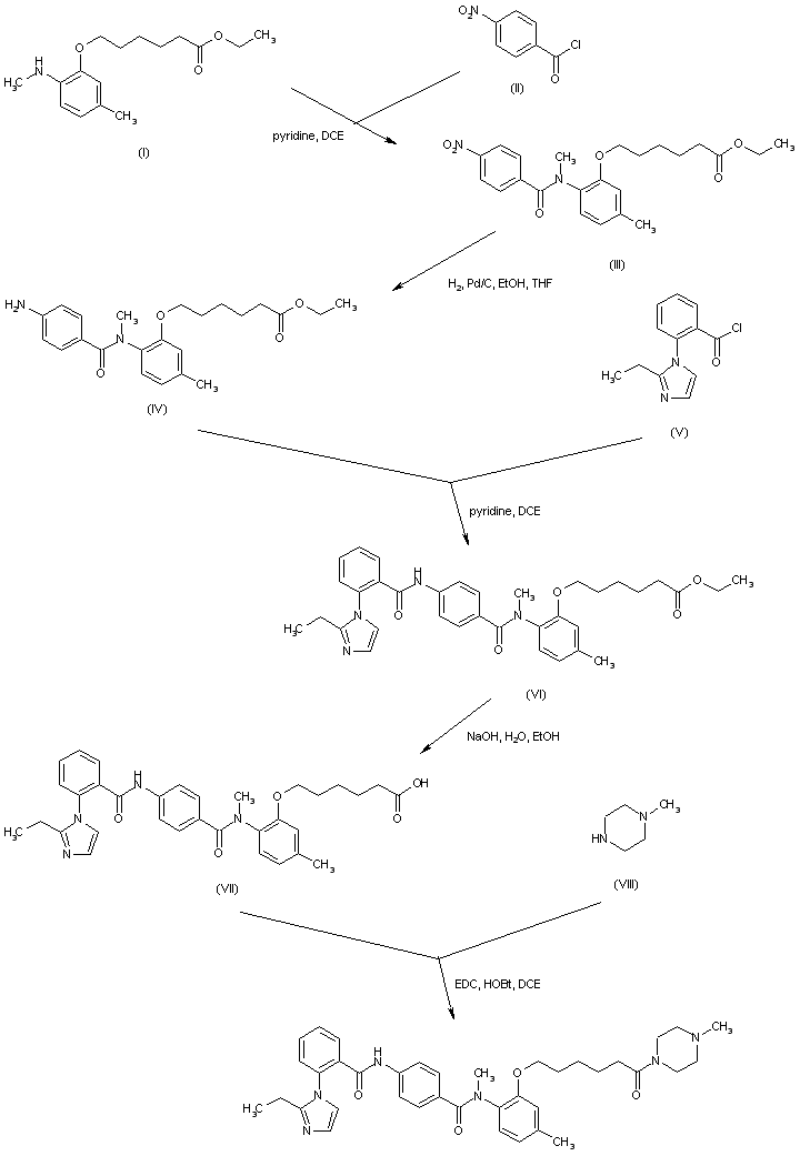
Acylation of the anilino ester (I) with 4-nitrobenzoyl chloride (II) affords amide (III). After reduction of the 4-nitrobenzamide (III) by catalytic hydrogenation, the resultant amine (IV) is condensed with (2-ethyl-1-imidazolyl)benzoyl chloride (V) to furnish diamide (VI). Subsequent ester group saponification in (VI) gives acid (VII). This is finally coupled with N-methylpiperazine (VIII) in the presence of EDC and HOBt to produce the title compound.

Drug Information Express,Drug R&D,Chemical Database,Patent Search.
Copyright © 2006-2026 Drug Future. All rights reserved.Contact Us