【药物名称】
化学结构式(Chemical Structure):
参考文献No.650633
标题:New series of aryloxypropanolamines with both human beta3-adrenoceptor agonistic activity and free radical scavenging properties
作者:Aubriot, S.; Nicolle, E.; Lattier, M.; Morel, C.; Cao, W.; Daniel, K.W.; Collins, S.; Leclerc, G.; Faure, P.
来源:Bioorg Med Chem Lett 2002,12(2),209
合成路线图解说明:

Reduction of 3-(3,5-di-t-butyl-4-hydroxyphenyl)propionic acid (I) with LiAlH4 afforded alcohol (II), which was further brominated to (III) using PBr3. Alkylation of p-nitrophenol (IV) by the alkyl bromide (III) gave ether (V). Then, reduction of the nitro group of (V) to the aniline (VI) was accomplished by means of hydrazine in the presence of Raney nickel.

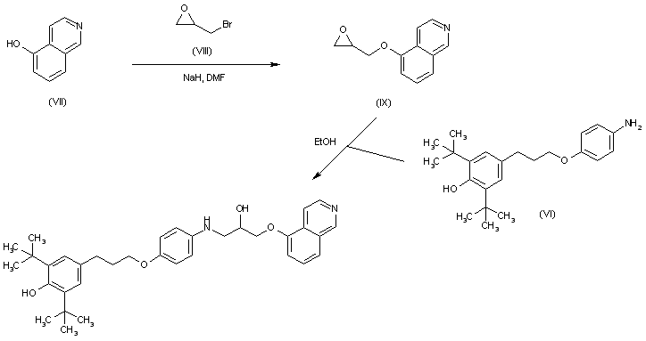
合成路线图解说明:

Alkylation of 5-hydroxyisoquinoline (VII) with epibromohydrin (VIII) produced the glycidyl ether (IX). Subsequent epoxide ring opening in (IX) with aniline (VI) furnished the target (isoquinolyloxy)propanolamine.

Drug Information Express,Drug R&D,Chemical Database,Patent Search.
Copyright © 2006-2026 Drug Future. All rights reserved.Contact Us