【药物名称】
化学结构式(Chemical Structure):
参考文献No.43913
标题:New biphenyl and biphenyl-analogous cpds. as integrin antagonists
作者:Schmidt, D.; Urbahns, K.; Gerdes, C.; Keldenich, J.; H鋜ter, M.; Stahl, E.; Albers, M.; Vaupel, A.; Stelte-Ludwig, B.; Br黦gemeier, U.; Lustig, K. (Bayer AG)
来源:EP 1140809; JP 2002532465; US 6420396; WO 0035864
合成路线图解说明:

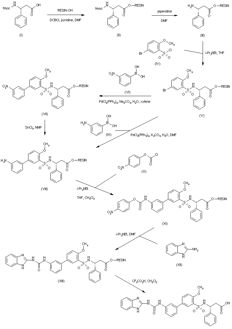
The title compound was synthesized within a combinatorial library on a Wang polystyrene resin. Attachment of N-Fmoc-(R)-beta-phenylalanine (I) to the solid support was achieved via activation with 2,6-dichlorobenzoyl chloride to afford the aminoacid-bound resin (II). After conventional Fmoc group deprotection with piperidine in DMF, the resultant amine resin (III) was acylated with 5-bromo-2-methoxybenzenesulfonyl chloride (IV) yielding sulfonamide (V). Mitsunobu coupling between aryl bromide (V) and 3-nitrobenzeneboronic acid (VI) gave rise to the biphenyl derivative (VII). Reduction of the nitro group of (VII) to the corresponding aniline (VIII) was then performed by treatment with stannous chloride in N-methylpyrrolidone. Alternatively, the aminobiphenyl resin (VIII) was directly prepared by coupling between aryl bromide (V) and 3-aminobenzeneboronic acid (IX). Reaction of amine (VIII) with p-nitrophenyl chloroformate (X) produced the nitrophenyl carbamate resin (IX), which was further reacted with 2-aminobenzimidazole (XII) to furnish urea (XIII). Final resin cleavage was effected by treatment with trifluoroacetic acid in CH2Cl2.

参考文献No.650632
标题:Biphenyls as potent vitronectin receptor antagonists
作者:Urbahns, K.; H鋜ter, M.; Albers, M.; Schmidt, D.; Stelte-Ludwig, B.; Br黦gemeier, U.; Vaupel, A.; Gerdes, C.
来源:Bioorg Med Chem Lett 2002,12(2),205
合成路线图解说明:

The title compound was synthesized within a combinatorial library on a Wang polystyrene resin. Attachment of N-Fmoc-(R)-beta-phenylalanine (I) to the solid support was achieved via activation with 2,6-dichlorobenzoyl chloride to afford the aminoacid-bound resin (II). After conventional Fmoc group deprotection with piperidine in DMF, the resultant amine resin (III) was acylated with 5-bromo-2-methoxybenzenesulfonyl chloride (IV) yielding sulfonamide (V). Mitsunobu coupling between aryl bromide (V) and 3-nitrobenzeneboronic acid (VI) gave rise to the biphenyl derivative (VII). Reduction of the nitro group of (VII) to the corresponding aniline (VIII) was then performed by treatment with stannous chloride in N-methylpyrrolidone. Alternatively, the aminobiphenyl resin (VIII) was directly prepared by coupling between aryl bromide (V) and 3-aminobenzeneboronic acid (IX). Reaction of amine (VIII) with p-nitrophenyl chloroformate (X) produced the nitrophenyl carbamate resin (IX), which was further reacted with 2-aminobenzimidazole (XII) to furnish urea (XIII). Final resin cleavage was effected by treatment with trifluoroacetic acid in CH2Cl2.

Drug Information Express,Drug R&D,Chemical Database,Patent Search.
Copyright © 2006-2026 Drug Future. All rights reserved.Contact Us