【药物名称】KT-8138, CEP-11004
化学结构式(Chemical Structure):
参考文献No.29960
标题:Protein kinase inhibitors for treatment of neurological disorders
作者:Lewis, M.E.; Kauer, J.C.; Neff, N.; Glicksman, M.; Roberts-Lewis, J.; Murakata, C.; Saito, H.; Matsuda, Y.; Kanai, F.; Kaneko, M. (Cephalon, Inc.; Kyowa Hakko Kogyo Co., Ltd.)
来源:EP 0788501; JP 1998510514; WO 9613506; WO 9613506
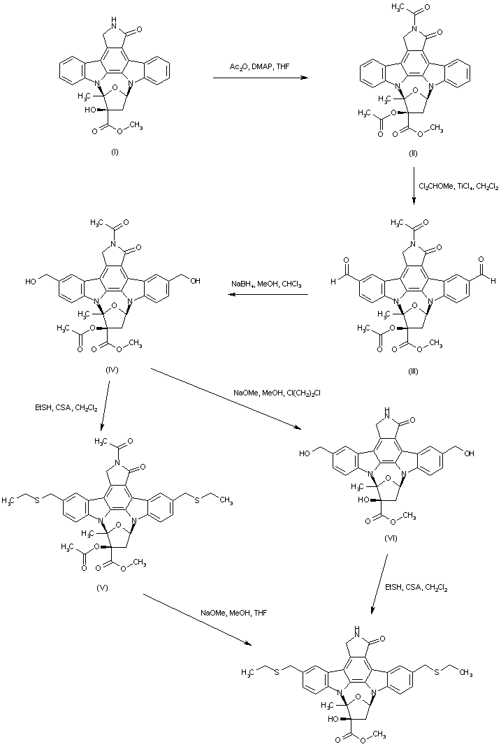
合成路线图解说明:

The synthesis of the title compound used as the starting material was the indolocarbazole alkaloid K-252A (I). Compound (I) was protected as the diacetyl derivative (II) by treatment with Ac2O and DMAP. Formylation of (II) with dichloromethyl methyl ether in the presence of TiCl4 afforded dialdehyde (III), which was further reduced to diol (IV) using NaBH4 in MeOH-CHCl3. Condensation of diol (IV) with ethanethiol in the presence of camphorsulfonic acid furnished the bis-sulfanyl compound (V). The acetyl protecting groups of (V) were finally removed by treatment with sodium methoxide. Alternatively, diol (IV) was first deacetylated by treatment with NaOMe, and the deprotected bis(hydroxymethyl) compound (VI) was then condensed with ethanethiol to produce the title bis-sulfayl compound.

合成路线图解说明:

Preparation of intermediate (VI) has been reported by two related ways. The nonselective methylation of alkaloid K252a (V) with methyl iodide in the presence of NaH yielded the required O-methyl compound (VI) along with the N-methyl and the N,O-dimethyl derivatives, which were separated by silica gel chromatography. A large-scale process for the regioselective synthesis of ether (VI) was further developed. Selective protection of the amide group of (V) with tert-butyldimethylsilyl chloride gave the N-silyl derivative (VII), which was O-methylated with methyl iodide to afford methyl ether (VIII). Desilylation under acidic conditions then gave (VI). Subsequent reduction of the ester group of (VI) with with NaBH4 in THF/MOH provided alcohol (IX). This was coupled with dipeptide (IV) using DCC and NMM to afford ester (X). The Boc protecting groups were finally cleaved by treatment with HCl in EtOAc.

合成路线图解说明:

The known K-252a (I) was protected as its diacetyl derivative (II) by treatment with Ac2O in the presence of DMAP. Diacetyl-K-255a (II) was converted to 3,9-dialdehyde (III) by formylation with dichloromethyl methyl ether and TiCl4. After NaBH4 reduction of dialdehyde (III) to the corresponding diol (IV), the acetyl groups were deprotected using catalytic NaOMe in MeOH. The deprotected diol (V) was finally condensed with 2-propanethiol in the presence of either camphorsulfonic acid or trifluoroacetic anhydride to furnish the target bis(thioether) derivative.

参考文献No.419342
标题:Neurotrophic 3,9-bis[(alkylthio)methyl]- and -bis(alkoxymethyl)-K-252a derivatives
作者:Kaneko, M.; Saito, Y.; Saito, H.; Matsumoto, T.; Matsuda, Y.; Vaught, J.L.; Dionne, C.A.; Angeles, T.S.; Glicksman, M.A.; Neff, N.T.; Rotella, D.P.; Kauer, J.C.; Mallamo, J.P.; Hudkins, R.L.; Murakata, C.
来源:J Med Chem 1997,40(12),1863
合成路线图解说明:

The synthesis of the title compound used as the starting material was the indolocarbazole alkaloid K-252A (I). Compound (I) was protected as the diacetyl derivative (II) by treatment with Ac2O and DMAP. Formylation of (II) with dichloromethyl methyl ether in the presence of TiCl4 afforded dialdehyde (III), which was further reduced to diol (IV) using NaBH4 in MeOH-CHCl3. Condensation of diol (IV) with ethanethiol in the presence of camphorsulfonic acid furnished the bis-sulfanyl compound (V). The acetyl protecting groups of (V) were finally removed by treatment with sodium methoxide. Alternatively, diol (IV) was first deacetylated by treatment with NaOMe, and the deprotected bis(hydroxymethyl) compound (VI) was then condensed with ethanethiol to produce the title bis-sulfayl compound.

合成路线图解说明:

The known K-252a (I) was protected as its diacetyl derivative (II) by treatment with Ac2O in the presence of DMAP. Diacetyl-K-255a (II) was converted to 3,9-dialdehyde (III) by formylation with dichloromethyl methyl ether and TiCl4. After NaBH4 reduction of dialdehyde (III) to the corresponding diol (IV), the acetyl groups were deprotected using catalytic NaOMe in MeOH. The deprotected diol (V) was finally condensed with 2-propanethiol in the presence of either camphorsulfonic acid or trifluoroacetic anhydride to furnish the target bis(thioether) derivative.

参考文献No.650629
标题:Mixed lineage kinase activity of indolocarbazole analogues
作者:Murakata, C.; Kaneko, M.; Gessner, G.; Angeles, T.S.; Ator, M.A.; O'Kane, T.M.; McKenna, B.A.; Thomas, B.A.; Mathiasen, J.R.; Saporito, M.S.; Bozyczko-Coyne, D.; Hudkins, R.L.
来源:Bioorg Med Chem Lett 2002,12(2),147
合成路线图解说明:

The known K-252a (I) was protected as its diacetyl derivative (II) by treatment with Ac2O in the presence of DMAP. Diacetyl-K-255a (II) was converted to 3,9-dialdehyde (III) by formylation with dichloromethyl methyl ether and TiCl4. After NaBH4 reduction of dialdehyde (III) to the corresponding diol (IV), the acetyl groups were deprotected using catalytic NaOMe in MeOH. The deprotected diol (V) was finally condensed with 2-propanethiol in the presence of either camphorsulfonic acid or trifluoroacetic anhydride to furnish the target bis(thioether) derivative.

Drug Information Express,Drug R&D,Chemical Database,Patent Search.
Copyright © 2006-2026 Drug Future. All rights reserved.Contact Us