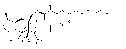
【药物名称】GM-160575
化学结构式(Chemical Structure):
参考文献No.29865
标题:Antifungal sordarin derivs.
作者:Hayes, M.; Wildman, H.; Dawson, M.; Chalk, P.; Hall, R.; Ruiz Gomez, J.R. (GlaxoSmithKline plc)
来源:EP 0711783; EP 0791007; JP 1999502188; US 6054478; WO 9614327
合成路线图解说明:

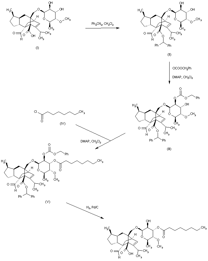
Sordarin (I) was isolated from culture broths of Sordaria araneosa. Protection of the carboxyl group of (I) as the benzhydryl ester (II) was effected by treatment with diphenyl diazomethane. The 2'-hydroxyl group of (II) was subsequently blocked as the carbonate ester (III) by selective acylation with benzyl chloroformate in the presence of DMAP. Subsequent esterification of the 3'-hydroxyl of (III) with octanoyl chloride (IV) furnished the octanoate ester (V). The benzhydryl ester and benzyl carbonate protecting groups of (V) were finally removed by catalytic hydrogenation over Pd/C.

参考文献No.650625
标题:Antifungal sordarins. Synthesis and structure-activity relationships of 3'-O-substituted derivatives
作者:Arribas, E.M.; Castro, J.; Clemens, I.R.; Cuevas, J.C.; Chicharro, J.; Fraile, M.T.; Garc韆-Ochoa, S.; G髆ez de las Heras, F.; Ruiz, J.R.
来源:Bioorg Med Chem Lett 2002,12(2),117
合成路线图解说明:

Sordarin (I) was isolated from culture broths of Sordaria araneosa. Protection of the carboxyl group of (I) as the benzhydryl ester (II) was effected by treatment with diphenyl diazomethane. The 2'-hydroxyl group of (II) was subsequently blocked as the carbonate ester (III) by selective acylation with benzyl chloroformate in the presence of DMAP. Subsequent esterification of the 3'-hydroxyl of (III) with octanoyl chloride (IV) furnished the octanoate ester (V). The benzhydryl ester and benzyl carbonate protecting groups of (V) were finally removed by catalytic hydrogenation over Pd/C.

Drug Information Express,Drug R&D,Chemical Database,Patent Search.
Copyright © 2006-2026 Drug Future. All rights reserved.Contact Us