【药物名称】DTPA-adenosylcobalamin, DAC
化学结构式(Chemical Structure):
参考文献No.53436
标题:Radionuclide labeling of vitamin B12 and coenzymes thereof
作者:Collins, D.A.; Hogenkamp, H.P.C. (Mayo Foundation for Medical Education and Research; University of Minnesota)
来源:WO 9718231
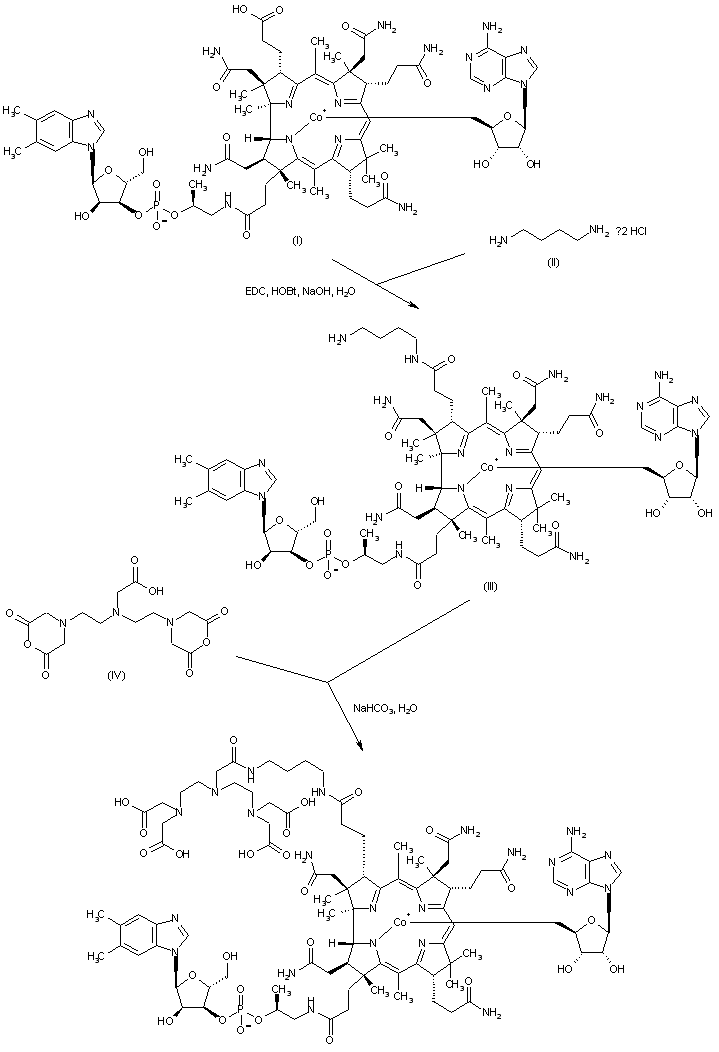
合成路线图解说明:

Adenosylcobalamin-b-monocarboxylic acid (I) was coupled to 1,4-butanediamine (II) in the presence of EDC and HOBt to afford the N-(4-aminobutyl)amide (III). Subsequent acylation of amino amide (III) by diethylenetriaminopentaacetic dianhydride (IV) gave rise to the title compound.

参考文献No.657161
标题:Transcobalamin II receptor imaging via radiolabeled diethylene-triaminepentaacetate cobalamin analogs
作者:Collins, D.A.; Hogenkamp, H.P.C.
来源:J Nucl Med 1997,38(5),717
合成路线图解说明:

Adenosylcobalamin-b-monocarboxylic acid (I) was coupled to 1,4-butanediamine (II) in the presence of EDC and HOBt to afford the N-(4-aminobutyl)amide (III). Subsequent acylation of amino amide (III) by diethylenetriaminopentaacetic dianhydride (IV) gave rise to the title compound.

Drug Information Express,Drug R&D,Chemical Database,Patent Search.
Copyright © 2006-2026 Drug Future. All rights reserved.Contact Us