【药物名称】
化学结构式(Chemical Structure):
参考文献No.57564
标题:Prodrugs derivs. of the ascorbic acid suitable to the passage of the hematoencephalic barrier
作者:Manfredini, S. (Universit?di Ferrara)
来源:WO 0270499
合成路线图解说明:

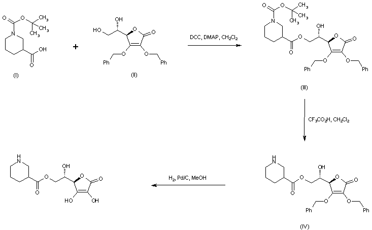
Condensation between N-Boc-nipecotic acid (I) and 2,3-di-O-benzyl ascorbic acid (II) using DCC in the presence of DMAP leads to ester (III). Subsequent removal of the N-Boc group of (III) with trifluoroacetic acid gives the N-deprotected nipecotate (IV). This is finally debenzylated by catalytic hydrogenolysis over Pd/C to furnish the title compound.

参考文献No.649044
标题:Design, synthesis and activity of ascorbic acid prodrugs of nipecotic, kynurenic and diclophenamic acids, liable to increase neurotropic activity
作者:Manfredini, S.; Pavan, B.; Vertuani, S.; Scaglianti, M.; Compagnone, D.; Biondi, C.; Scatturin, A.; Tanganelli, S.; Ferraro, L.; Prasad, P.; Dalpiaz, A.
来源:J Med Chem 2002,45(3),559
合成路线图解说明:

Condensation between N-Boc-nipecotic acid (I) and 2,3-di-O-benzyl ascorbic acid (II) using DCC in the presence of DMAP leads to ester (III). Subsequent removal of the N-Boc group of (III) with trifluoroacetic acid gives the N-deprotected nipecotate (IV). This is finally debenzylated by catalytic hydrogenolysis over Pd/C to furnish the title compound.

Drug Information Express,Drug R&D,Chemical Database,Patent Search.
Copyright © 2006-2026 Drug Future. All rights reserved.Contact Us