【药物名称】
化学结构式(Chemical Structure):
参考文献No.647806
标题:4'-Arylpyrrolomorphinans: Effect of a pyrrolo-N-benzyl substituent in enhancing delta-opioid antagonist activity
作者:Srivastava, S.K.; Husbands, S.M.; Aceto, M.D.; Miller, C.N.; Traynor, J.R.; Lewis, J.W.
来源:J Med Chem 2002,45(2),537
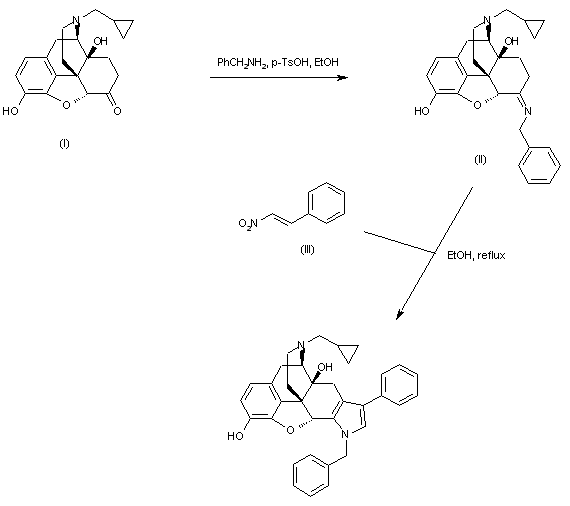
合成路线图解说明:

Condensation of naltrexone (I) with benzylamine produces the intermediate imine (II) which is subsequently cyclized with trans-beta-nitrostyrene (III) to produce the required pyrrolomorphinan.

Drug Information Express,Drug R&D,Chemical Database,Patent Search.
Copyright © 2006-2026 Drug Future. All rights reserved.Contact Us