【药物名称】OJ-R9188
化学结构式(Chemical Structure):
参考文献No.650989
标题:Studies on selectin blockers. 6. Discovery of homologous fucose sugar unit necessary for E-selectin binding
作者:Hiramatsu, Y.; Moriyama, H.; Koyoi, T.; Tsukida, T.; Inoue, Y.; Kondo, H.
来源:J Med Chem 1998,41(13),2302
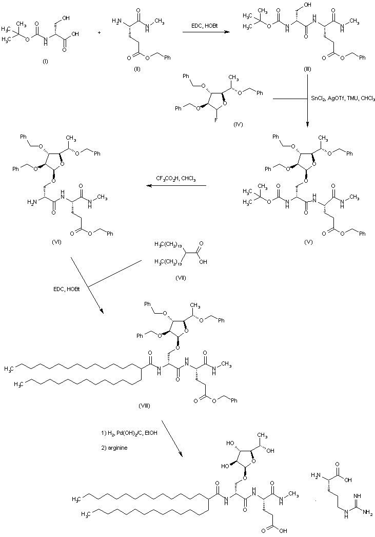
合成路线图解说明:

Coupling of N-Boc-D-serine (I) with L-glutamic acid 1-methylamide 5-benzyl ester (II) by means of EDC and HOBt affords the dipeptide derivative (III). Subsequent glycosylation of the serine hydroxyl group of (III) with the perbenzylfucose donor (IV) in the presence of SnCl2 and AgOTf gives the alpha-glycoside (V). The N-Boc protecting group of (V) is removed under acidic conditions to furnish amine (VI), which is acylated by 2-tetradecylhexadecanoic acid (VII), yielding amide (VIII). The O-benzyl protecting groups of (VIII) are then removed by hydrogenolysis in the presence of Pearlman's catalyst, and the resultant carboxylic acid is finally converted to the corresponding arginine salt.

Drug Information Express,Drug R&D,Chemical Database,Patent Search.
Copyright © 2006-2026 Drug Future. All rights reserved.Contact Us