【药物名称】
化学结构式(Chemical Structure):
参考文献No.39002
标题:Indanol derivs., process for their preparation and pharmaceutical compsns. containing them
作者:Peglion, J.-L.; Millan, M.; Goument, B.; Newman-Tancredi, A.; Dekeyne, A. (ADIR et Cie.)
来源:CA 2249756; EP 0906912; FR 2769312; JP 1999158179; US 5958927; US 6060487
合成路线图解说明:

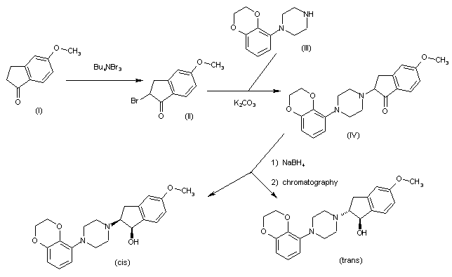
The bromination of 5-methoxy-1-indanone (I) with Bu4NBr3 in dichloromethane gives the 2-bromo derivative (II), which is condensed with 1-(2,3-dihydro-1,4-benzodioxin-5-yl)piperazine (III) by means of K2CO3 in THF to yield 2-[4-(2,3-dihydro-1,4-benzodioxin-5-yl)piperazin-1-yl]-5-methoxy-1-indanone (IV). Finally, this compound is reduced by means of NaBH4 in THF to afford the target compound as a mixture of the (cis) and (trans) racemates that are separated by chromatography.

参考文献No.646945
标题:Improvement in the selectivity and metabolic stability of the serotonin 5-HT1A ligand, S 15535: A series of cis- and trans-2-(arylcycloalkylamine) 1-indanols
作者:Peglion, J.-L.; Goument, B.; Despaux, N.; Charlot, V.; Giraud, H.; Nisole, C.; Newman-Tancredi, A.; Dekeyne, A.; Bertrand, M.; Genissel, P.; Millan, M.J.
来源:J Med Chem 2002,45(1),165
合成路线图解说明:

The bromination of 5-methoxy-1-indanone (I) with Bu4NBr3 in dichloromethane gives the 2-bromo derivative (II), which is condensed with 1-(2,3-dihydro-1,4-benzodioxin-5-yl)piperazine (III) by means of K2CO3 in THF to yield 2-[4-(2,3-dihydro-1,4-benzodioxin-5-yl)piperazin-1-yl]-5-methoxy-1-indanone (IV). Finally, this compound is reduced by means of NaBH4 in THF to afford the target compound as a mixture of the (cis) and (trans) racemates that are separated by chromatography.

Drug Information Express,Drug R&D,Chemical Database,Patent Search.
Copyright © 2006-2026 Drug Future. All rights reserved.Contact Us