【药物名称】
化学结构式(Chemical Structure):
参考文献No.646939
标题:Synthesis of new dihydroindeno[1,2-c]isoquinoline and indenoisoquinolinium chloride topoisomerase I inhibitor having high in vivo anticancer activity in the hollow fiber animal model
作者:Jayaraman, M.; Fox, B.M.; Hollingshead, M.; Kohlhagen, G.; Pommier, Y.; Cushman, M.
来源:J Med Chem 2002,45(1),242
合成路线图解说明:

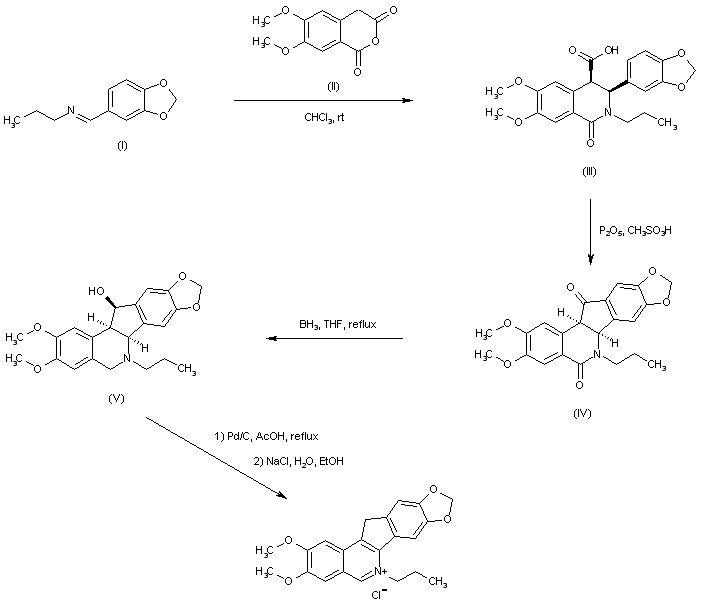
Isoquinoline (III) was prepared by the condensation of piperonal N-propylimine (I) with 4,5-dimethoxyhomophthalic anhydride (II). Subsequent intramolecular Friedel-Crafts acylation of (III) in the presence of Eaton's reagent gave rise to the indenoisoquinoline (IV). Reduction of the ketone and lactam functions of (IV) using borane-tetrahydrofuran complex provided alcohol (V). This underwent simultaneous dehydration and dehydrogenation in the presence of Pd/C in refluxing HOAc to afford, after treatment with NaCl, the target indenoisoquinolinium chloride salt.

Drug Information Express,Drug R&D,Chemical Database,Patent Search.
Copyright © 2006-2026 Drug Future. All rights reserved.Contact Us