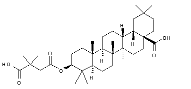
【药物名称】
化学结构式(Chemical Structure):
参考文献No.648614
标题:Synthesis and anti-HIV activity of oleanolic acid derivatives
作者:Zhu, Y.-M.; Shen, J.-K.; Wang, H.-K.; Cosentino, L.M.; Lee, K.-H.
来源:Bioorg Med Chem Lett 2001,11(24),3115
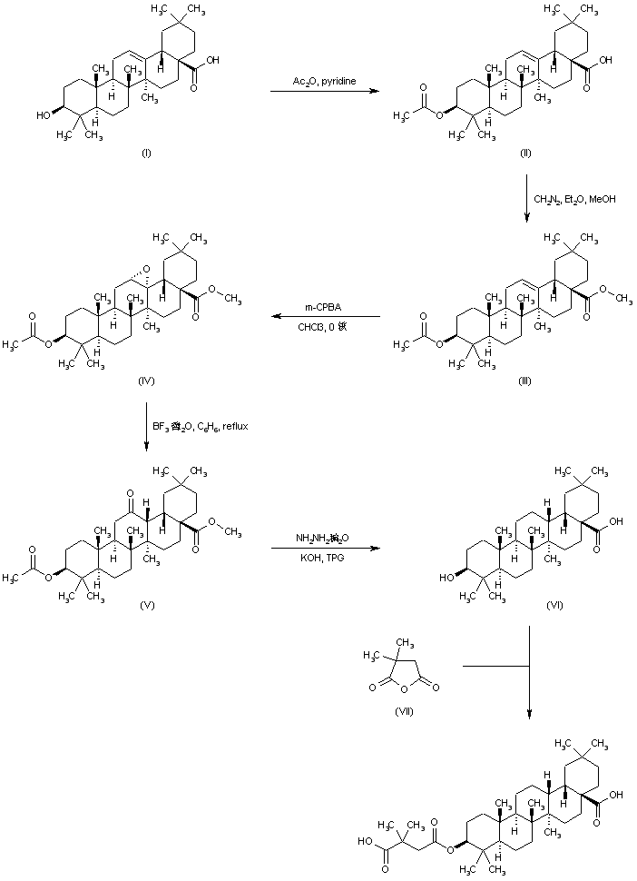
合成路线图解说明:

Dihydrooleanolic acid (VI) was prepared from oleanolic acid (I) as follows. Acylation of (I) with Ac2O in pyridine gave 3-acetoxy oleanolic acid (II), which was converted to the corresponding methyl ester (III) upon treatment with diazomethane. Subsequent epoxidation of (III) by means of m-chloroperbenzoic acid afforded the 12,13-epoxy derivative (IV). Rearrangement of epoxide (IV) by refluxing with boron trifluoride etherate in benzene led to ketone (V). Wolff-Kishner reduction of the keto group of (V) with hydrazine and KOH in tripolyethylene glycol furnished dihydrooleanolic acid (VI). The title compound was then obtained by esterification of (VI) with 2,2-dimethylsuccinic anhydride (VII).

Drug Information Express,Drug R&D,Chemical Database,Patent Search.
Copyright © 2006-2026 Drug Future. All rights reserved.Contact Us