【药物名称】GW-532
化学结构式(Chemical Structure):
参考文献No.52789
标题:Binding competition of SREBP-cleavage activating protein (SCAP) antagonists
作者:Grand-Perret, T.A.R.; Issandou, M. (GlaxoSmithKline plc)
来源:WO 0106261
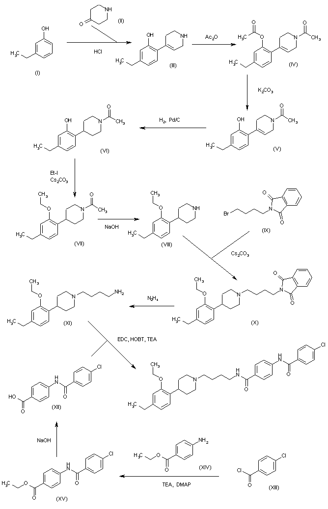
合成路线图解说明:

The condensation of 3-ethylphenol (I) with 4-piperidone (II) by means of gaseous HCl in acetic acid gives 5-ethyl-2-(1,2,3,6-tetrahydropyridin-4-yl)phenol (III), which is treated with acetic anhydride in pyridine to yield the diacetyl derivative (IV). The selective hydrolysis of the O-acetyl group of (IV) by means of K2CO3 in methanol affords the phenol derivative (V), which is hydrogenated with H2 over Pd/C in methanol to provide the acetyl piperidine (VI). The alkylation of the phenolic group of (VI) with ethyl iodide and Cs2CO3 in refluxing acetone gives 1-acetyl-4-(2-ethoxy-4-ethylphenyl)piperidine (VII), which is deacetylated by means of NaOH in refluxing methanol to yield 4-(2-ethoxy-4-ethylphenyl)piperidine (VIII). The alkylation of the piperidine (VIII) with N-(4-bromobutyl)phthalimide (IX) by means of Cs2CO3 in refluxing acetone affords the adduct (X), which is cleaved with hydrazine in hot methanol to provide 1-(4-aminobutyl)-4-(2-ethoxy-4-ethylphenyl)piperidine (XI). Finally, this amine is condensed with 4-(4-chlorobenzamido)benzoic acid (XII) by means of EDC, HOBT and TEA in DMF to give the target diamide. The intermediate 4-(4-chlorobenzamido)benzoic acid (XII) is obtained as follows: The condensation of 4-aminobenzoic acid ethyl ester (XIV) with 4-chlorobenzoyl chloride (XIII) by means of TEA and DMAP gives 4-(4-chlorobenzamido)benzoic acid ethyl ester (XV), which is finally hydrolyzed with NaOH to afford the target benzoic acid intermediate (XII).

Drug Information Express,Drug R&D,Chemical Database,Patent Search.
Copyright © 2006-2026 Drug Future. All rights reserved.Contact Us