【药物名称】
化学结构式(Chemical Structure):
参考文献No.38837
标题:Antimicrobial quinolones, their compsns. and uses
作者:Hu, X.E.; Gray, J.L.; Almstead, J.-I.K.; Ledoussal, B. (The Procter & Gamble Co.)
来源:EP 1015445; WO 9914214
合成路线图解说明:

Aromatic hydroxylation of 1-bromo-2,4-difluorobenzene (I) using tert-butyl hydroperoxide and LDA afforded phenol (II), which was methylated with iodomethane and K2CO3 to give methyl ether (III). The required benzoic acid (IV) was then obtained from (III) by lithium-bromine exchange with n-butyllithium, followed by carboxylation with CO2 gas at -70 C. Treatment of (IV) with oxalyl chloride and DMF gave acid chloride (V). This was condensed with the lithium salt of monoethyl malonate to yield, after acid decarboxylation, ketoester (VI). Subsequent condensation of (VI) with triethyl orthoformate in refluxing Ac2O provided methoxyacrylate (VII), and further treatment with cyclopropylamine (VIII) furnished aminoacrylate (IX). Cyclization of (IX) by means of NaH in THF generated the quinolone system (X). Acid hydrolysis of the ethyl ester group of (X) gave quinolinecarboxylic acid (XI), which was converted to the boron difluoride complex (XII) by treatment with BF3-Et2O in hot THF. Displacement of the aromatic fluorine of (XII) with 3R-(1S-tert-butoxycarbonylaminoethyl)pyrrolidine (XIII) in the presence of DIEA, followed by boron complex cleavage with Et3N in EtOH provided the pyrrolidinylquinoline (XIV). Finally, the Boc protecting group of (XIV) was removed by hydrolysis with ethanolic HCl.

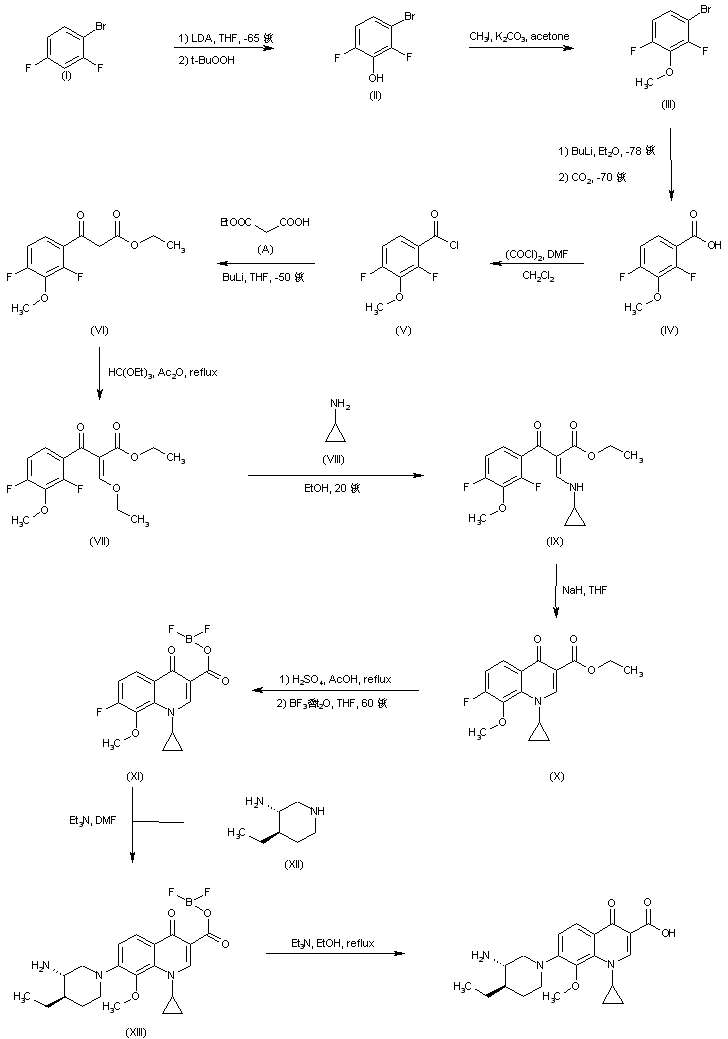
合成路线图解说明:

Metalation of 1-bromo-2,4-difluorobenzene (I) by means of LDA, followed by treatment with tert-butyl hydroperoxide gave rise to phenol (II), which was further converted to methyl ether (III) by alkylation with iodomethane and K2CO3. Lithium halogen exchange of (III) with n-butyllithium, and subsequent quenching with CO2 produced 3-methoxy-2,4-difluorobenzoic acid (IV). After activation of (IV) as the acid chloride (V), condensation with the lithium derivative of monoethyl malonate (A) led to the benzoyl acetate ester (VI). The benzoyl ethoxyacrylate (VII), obtained by condensation of ketoester (VI) with triethyl orthoformate, was then reacted with cyclopropylamine (VIII) to afford enamine (IX). This was cyclized to the quinolone compound (X) upon treatment with NaH in THF. Acidic hydrolysis of ester (X) gave a keto acid, which was subsequently converted to the boron chelate (XI) by treatment with boron trifluoride etherate. Fluoride displacement of quinolone (XI) with the amino piperidine (XII) produced the piperidino quinolone (XIII). The boron difluoride complex of (XIII) was finally removed by means of triethylamine in boiling EtOH.

Drug Information Express,Drug R&D,Chemical Database,Patent Search.
Copyright © 2006-2026 Drug Future. All rights reserved.Contact Us