【药物名称】VRC-4219
化学结构式(Chemical Structure):
参考文献No.694589
标题:Fluorinated deoxynegamycin analogs: Synthesis and antimicrobial properties
作者:Raju, B.; Anandan, S.K.; Gu, S.; et al.
来源:42nd Intersci Conf Antimicrob Agents Chemother (Sept 27 2002, San Diego) 2002,Abst F-1686
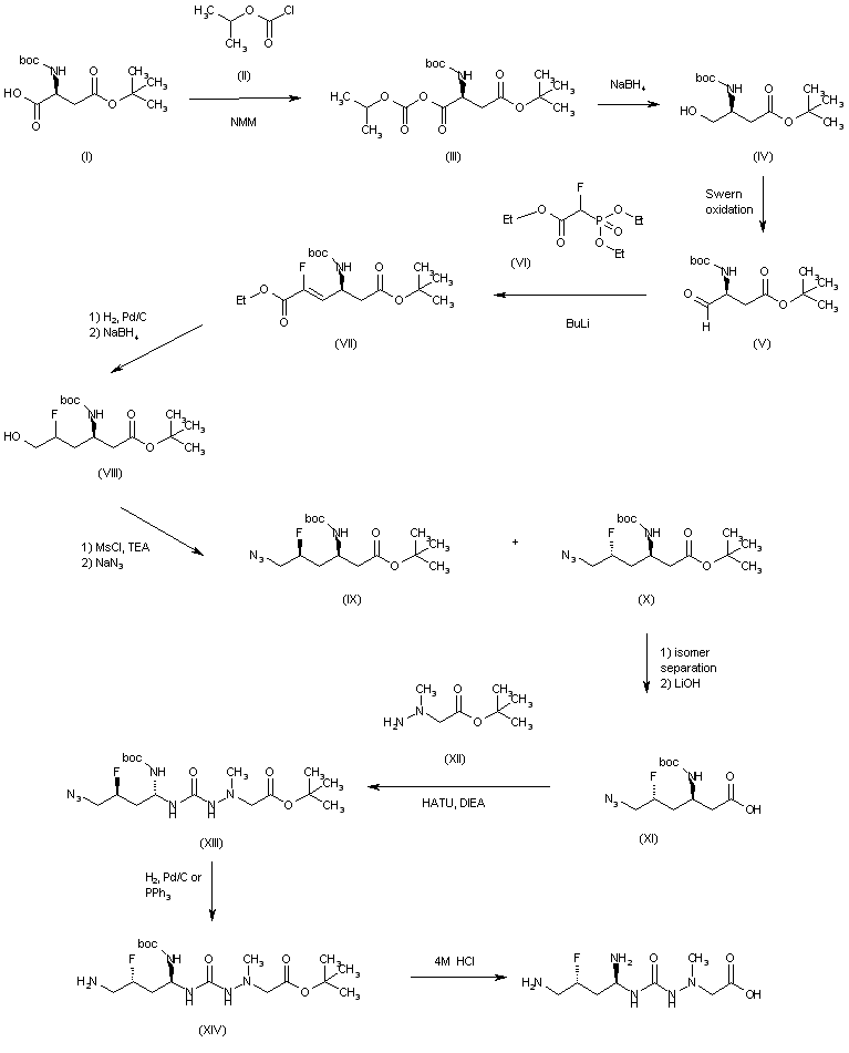
合成路线图解说明:

The activation of N-Boc-L-aspartic acid 4-O-tert-butyl ester (I) with isopropyl chloroformate (II) in THF gives the mixed anhydride (III), which is reduced with NaBH4 to yield the hydroxyester (IV). The Swern oxidation of (IV) affords the aldehyde (V), which is condensed with the phosphonate (VI) by means of BuLi to provide the hexenedioic diester (VII). The stepwise reduction of (VII) first by means of H2 over Pd/C and then with NaBH4 gives rise to the omega-hydroxy hexanoate (VIII). This is treated first with MsCl and TEA and then with NaN3 to yield a diastereomeric mixture of azido hexanoates (IX) and (X). After separation, the desired isomer (X) is hydrolyzed with LiOH to afford the corresponding carboxylic acid (XI), which is condensed with 2-(1-methylhydrazino)acetic acid tert-butyl ester (XII) by means of HATU and DIEA to provide the corresponding hydrazide (XIII). The reduction of the azido group of (XIII) by means of H2 over Pd/C or with PPh3 in THF/water provides the corresponding amino derivative (XIV), which is finally hydrolyzed and N-deprotected by means of 4M HCl in dioxane to furnish the target fluorinated deoxynegamycin.

Drug Information Express,Drug R&D,Chemical Database,Patent Search.
Copyright © 2006-2026 Drug Future. All rights reserved.Contact Us