【药物名称】VRC-3807
化学结构式(Chemical Structure):
参考文献No.47618
标题:Oxazolidinones and their use as antiinfectives
作者:Patel, D.V.; Gadwood, R.C.; Gordeev, M.F.; Luehr, G.W. (Pharmacia Corp.)
来源:EP 1200416; US 6441005; WO 0109107
合成路线图解说明:

Addition of thiocyanogen (generated in situ from KSCN and N-bromosuccinimide) to 3-fluoroaniline (I) gave the thiocyanoaniline (II). Subsequent acylation of aniline (II) with benzyl chloroformate afforded carbamate (III). The intermediate thiol produced by treatment of thiocyanate (III) with sodium sulfide was captured as the trityl sulfide (IV) upon quenching with bromotriphenylmethane. The chiral oxazolidinone (VI) was then obtained by condensation of the lithium salt of carbamate (IV) with (R)-glycidyl butyrate (V). Activation of the primary hydroxyl of (VI) as the corresponding mesylate (VII), followed by displacement with NaN3 in hot DMF gave rise to the alkyl azide (VIII). Removal of the S-trityl protecting group of (VIII) by means of trifluoroacetic acid and triisopropylsilane and further alkylation of the resultant thiol with iodomethane yielded the methyl sulfide (IX). Sulfoxide (X) was then obtained by oxidation of sulfide (IX) with m-chloroperbenzoic acid. Reduction of the azido group of (X) to the required amine (XI) was accomplished by treatment with triphenylphosphine followed by aqueous hydrolysis. Finally, condensation of amine (XI) with ethyl dithioacetate furnished the title thioacetamide.

合成路线图解说明:

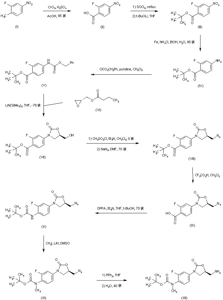
Jones oxidation of 2-fluoro-4-nitrotoluene (I) afforded carboxylic acid (II). After activation of (II) as the corresponding acid chloride with SOCl2, reaction with lithium tert-butoxide furnished the tert-butyl ester (III). Reduction of the nitro group of (III) by means of iron powder in the presence of ammonium chloride gave amine (IV), which was converted to carbamate (V) upon treatment with benzyl chloroformate. The chiral oxazolidinone (VII) was prepared by condensation of the lithium salt of carbamate (V) with (R)-glycidyl butyrate (VI). After activation of the primary hydroxyl of (VII) as the corresponding mesylate, displacement with NaN3 in hot DMF provided the alkyl azide (VIII). Tert-Butyl ester cleavage in (VIII) by means of trifluoroacetic acid afforded the carboxylic acid (IX). Curtius rearrangement of acid (IX) with diphenylphosphoryl azide in the presence of tert-butanol generated the tert-butyl carbamate (X). Further N-alkylation of carbamate (X) using iodomethane and LiH gave the N-methyl analogue (XI). Then, reduction of the azido group of (XI) to the primary amine (XII) was accomplished by treatment with triphenylphosphine followed by aqueous hydrolysis.

合成路线图解说明:

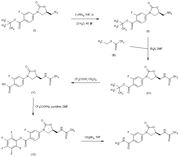
Amine (XII) was acylated by acetic anhydride in pyridine to afford acetamide (XIII). The N-Boc protecting group of (XIII) was then removed under acidic conditions to give amine (XIV), which was converted into formamide (XV) by treatment with p-nitrophenyl formate. Finally, thionation of both amide groups of (XV) by means of Lawesson's reagent in hot dioxane provided the target bis-thioamide.

合成路线图解说明:

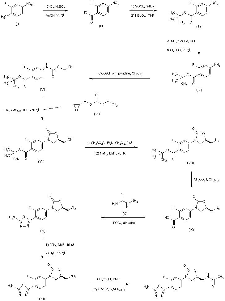
The azidomethyl oxazolidinone (I) was reduced to the corresponding amine (II) by treatment with triphenylphosphine, followed by aqueous hydrolysis of the intermediate iminophosphorane. Condensation of amine (II) with ethyl dithioacetate (III) produced thioacetamide (IV). After acidic cleavage of the tert-butyl ester, the resultant carboxylic acid (V) was converted to the active ester (VI) upon treatment with pentafluorophenyl trifluoroacetate. Finally, displacement of the pentafluorophenyl ester (VI) with methylamine gave rise to the target N-methyl amide.

合成路线图解说明:

Oxidation of 2-fluoro-4-nitrotoluene (I) by means of Jones reagent afforded the benzoic acid (II). After activation of (II) as the corresponding acid chloride with SOCl2, reaction with lithium tert-butoxide furnished the tert-butyl ester (III). Reduction of the nitro group of (III) by means of iron powder gave amine (IV), which was further converted into the carbamate (V) upon treatment with benzyl chloroformate. The chiral oxazolidinone (VII) was prepared by condensation of the lithium salt of carbamate (V) with (R)-glycidyl butyrate (VI) at -78 C. After activation of the primary hydroxyl of (VII) as the corresponding mesylate, displacement with NaN3 in hot DMF provided the alkyl azide (VIII). Tert-Butyl ester cleavage in (VIII) employing trifluoroacetic acid afforded the carboxylic acid (IX), which was cyclized to the thiadiazole (XI) by condensation with thiosemicarbazide (X) in the presence of POCl3. Reduction of the azido group of (XI) to the primary amine (XII) was accomplished by treatment with triphenylphosphine followed by aqueous hydrolysis. Finally, acylation of the aliphatic amino group of (XII) with ethyl dithioacetate gave rise to the title thioacetamide.

参考文献No.646112
标题:Acyclic C-group oxazolidinones: Antimicrobial 4'-acylamino, 4'-urea and 4'-thiourea phenyloxazolidinones
作者:Singh, U.; Gordeev, M.F.; Luehr, G.W.; Gadwood, R.C.; Jain, R.; Hackbarth, C.J.; Trias, J.; Patel, D.V.; Lopez, S.
来源:41st Intersci Conf Antimicrob Agents Chemother (Dec 16 2001, Chicago) 2001,Abst F-1045
合成路线图解说明:

Jones oxidation of 2-fluoro-4-nitrotoluene (I) afforded carboxylic acid (II). After activation of (II) as the corresponding acid chloride with SOCl2, reaction with lithium tert-butoxide furnished the tert-butyl ester (III). Reduction of the nitro group of (III) by means of iron powder in the presence of ammonium chloride gave amine (IV), which was converted to carbamate (V) upon treatment with benzyl chloroformate. The chiral oxazolidinone (VII) was prepared by condensation of the lithium salt of carbamate (V) with (R)-glycidyl butyrate (VI). After activation of the primary hydroxyl of (VII) as the corresponding mesylate, displacement with NaN3 in hot DMF provided the alkyl azide (VIII). Tert-Butyl ester cleavage in (VIII) by means of trifluoroacetic acid afforded the carboxylic acid (IX). Curtius rearrangement of acid (IX) with diphenylphosphoryl azide in the presence of tert-butanol generated the tert-butyl carbamate (X). Further N-alkylation of carbamate (X) using iodomethane and LiH gave the N-methyl analogue (XI). Then, reduction of the azido group of (XI) to the primary amine (XII) was accomplished by treatment with triphenylphosphine followed by aqueous hydrolysis.

合成路线图解说明:

Amine (XII) was acylated by acetic anhydride in pyridine to afford acetamide (XIII). The N-Boc protecting group of (XIII) was then removed under acidic conditions to give amine (XIV), which was converted into formamide (XV) by treatment with p-nitrophenyl formate. Finally, thionation of both amide groups of (XV) by means of Lawesson's reagent in hot dioxane provided the target bis-thioamide.

Drug Information Express,Drug R&D,Chemical Database,Patent Search.
Copyright © 2006-2026 Drug Future. All rights reserved.Contact Us