【药物名称】HKI-9924129
化学结构式(Chemical Structure):
参考文献No.57631
标题:Siderophore antibiotic conjugates with tetra- or hexadentate iron chelators on the basis of amino acids or peptides, method for producing them and the use thereof
作者:Heinisch, L.; M鰈lmann, U.; Wittmann, S. (Gr黱enthal GmbH)
来源:DE 10111163; WO 0270017
合成路线图解说明:

Catalytic hydrogenolysis of benzyl ester (VII) affords carboxylic acid (VIII) (1). Then, coupling of acid (VIII) with ampicillin (IX) using isobutyl chloroformate provides the target adduct, which is finally converted to the title sodium salt upon treatment with sodium 2-ethylhexanoate in EtOAc.

参考文献No.668946
标题:New synthetic siderophores and their beta-lactam conjugates based on diamino acids and dipeptides
作者:Wittmann, S.; Schnabelrauch, M..; Scherlitz-Hofmann, I.; Mollmann, U.; Ankel-Fuchs, D.; Heinisch, L.
来源:Bioorg Med Chem 2002,10(6),1659
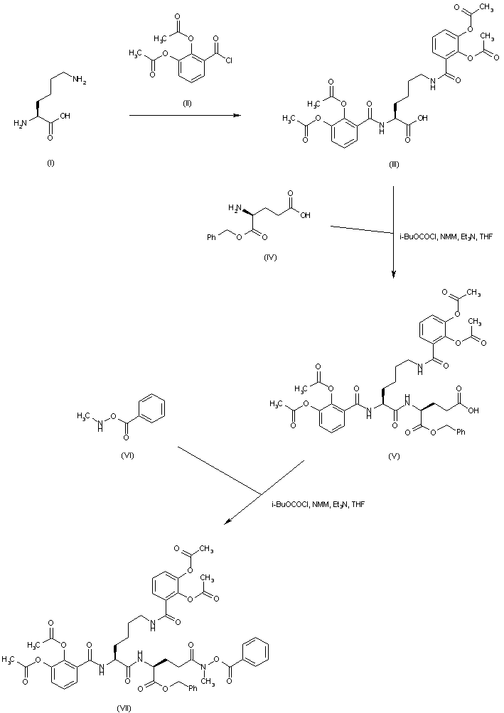
合成路线图解说明:

Acylation of L-lysine (I) with 2,3-diacetoxybenzoyl chloride (II) provides the dibenzoyl lysine derivative (III). After activation of (III) as the corresponding mixed anhydride with isobutyl chloroformate, condensation with alpha-benzyl L-glutamate (IV) yields the dipeptide compound (V). This is further coupled with N-(benzoyloxy) methylamine (VI), via the mixed anhydride with isobutyl chloroformate, to furnish hydroxamate (VII).

合成路线图解说明:

Catalytic hydrogenolysis of benzyl ester (VII) affords carboxylic acid (VIII) (1). Then, coupling of acid (VIII) with ampicillin (IX) using isobutyl chloroformate provides the target adduct, which is finally converted to the title sodium salt upon treatment with sodium 2-ethylhexanoate in EtOAc.

Drug Information Express,Drug R&D,Chemical Database,Patent Search.
Copyright © 2006-2026 Drug Future. All rights reserved.Contact Us