【药物名称】ACC-789, ZK-202650, NVP-ACC-789
化学结构式(Chemical Structure):
参考文献No.37184
标题:Phthalazines with angiogenesis inhibiting activity
作者:Altmann, K.-H.; Mett, H.; Wood, J.; Stover, D.R.; Frei, J.; Bold, G.; Traxler, P. (Novartis AG)
来源:EP 0970070; WO 9835958
合成路线图解说明:

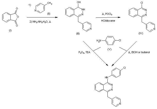
Condensation of phthalic anhydride (I) with 4-methylpyridine (II) and heating with NH2-NH2 hydrate yields phthalazine (III) which is converted into chloro derivative (IV) by directly heating in presence of POCl3 or alternatively by heating a solution of (IV) in CH3CN with HCl/dioxane and POCl3. Phthalazine (III) is added to a melt formed by 4-chloroaniline (V), P2O5 and Et3N.HCl to afford the desired product. Alternatively the final product is obtained by heating (V) with (IV) in EtOH or 1-butanol.

合成路线图解说明:

The reaction of phthalide (I) with pyridine-4-carbaldehyde (II) by means of NaOMe in methanol gives the nonisolated intermediate (III), which rearranges in the reaction medium to yield indenone (IV). The reaction of (IV) with hydrazine hydrate affords the phthalazinone (V), which was activated as the imidoyl chloride (VI) by means of POCl3 and then reacted with 3-bromo-4-methylaniline (VII) in ethanol to afford the 1-anilino-phthalazine.

参考文献No.45256
标题:Phthalazine derivs. for treating inflammatory diseases
作者:Wietfeld, B.; Wood, J.M.; Manley, P.W.; Heng, R.; Frei, J.; Bold, G.; Dawson King, J. (Novartis AG)
来源:WO 0059509
合成路线图解说明:

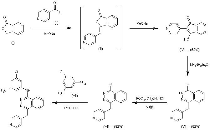
The reaction of phthalide (I) with pyridine-4-carbaldehyde (II) by means of NaOMe in methanol gives the nonisolated intermediate (III), which rearranges in the reaction medium to yield indenone (IV). The reaction of (IV) with hydrazine hydrate affords the phthalazinone (V), which was activated as the imidoyl chloride (VI) by means of POCl3 and then reacted with 3,4-bis(trifluoromethyl)aniline (VII) in ethanol to afford the 1-anilino-phthalazine.

合成路线图解说明:

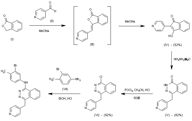
The reaction of phthalide (I) with pyridine-4-carbaldehyde (II) by means of NaOMe in methanol gives the nonisolated intermediate (III), which rearranges in the reaction medium to yield indenone (IV). The reaction of (IV) with hydrazine hydrate affords the phthalazinone (V), which was activated as the imidoyl chloride (VI) by means of POCl3 and then reacted with 3-bromo-4-methylaniline (VII) in ethanol to afford the 1-anilino-phthalazine.

合成路线图解说明:

The reaction of phthalide (I) with pyridine-4-carbaldehyde (II) by means of NaOMe in methanol gives the nonisolated intermediate (III), which rearranges in the reaction medium to yield indenone (IV). The reaction of (IV) with hydrazine hydrate affords the phthalazinone (V), which was activated as the imidoyl chloride (VI) by means of POCl3 and then reacted with 3-bromo-5-trifluoromethylaniline (VII) in ethanol to afford the 1-anilino-phthalazine.

合成路线图解说明:

The reaction of phthalide (I) with pyridine-4-carbaldehyde (II) by means of NaOMe in methanol gives the nonisolated intermediate (III), which rearranges in the reaction medium to yield indenone (IV). The reaction of (IV) with hydrazine hydrate affords the phthalazinone (V), which was activated as the imidoyl chloride (VI) by means of POCl3 and then reacted with 3-chloro-5-trifluoromethylaniline (VII) in ethanol to afford the 1-anilino-phthalazine.

合成路线图解说明:

The reaction of phthalide (I) with pyridine-4-carbaldehyde (II) by means of NaOMe in methanol gives the nonisolated intermediate (III), which rearranges in the reaction medium to yield indenone (IV). The reaction of (IV) with hydrazine hydrate affords the phthalazinone (V), which was activated as the imidoyl chloride (VI) by means of POCl3 and then reacted with 4-chloro-3-trifluoromethylaniline (VII) in ethanol to afford the 1-anilino-phthalazine.

参考文献No.580168
标题:New anilinophthalazines as potent and orally well absorbed inhibitors of the VEGF receptor tyrosine kinases useful as antagonists of tumor-driven angiogenesis
作者:Bold, G.; Altmann, K.-H.; Frei, J.; Lang, M.; Manley, P.W.; Traxler, P.; Wietfeld, B.; Bruggen, J.; Buchdunger, E.; Cozens, R.; Ferrari, S.; Furet, P.; Hofmann, F.; Martiny-Baron, G.; Mestan, J.; Rosel, J.; Sills, M.; Stover, D.; Acemoglu, F.; et al.
来源:J Med Chem 2000,43(12),2310
合成路线图解说明:

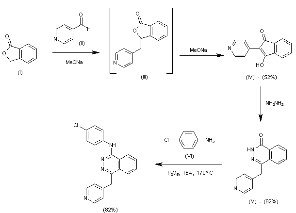
The reaction of phthalide (I) with pyridine-4-carbaldehyde (II) by means of NaOMe in methanol gives the nonisolated intermediate (III), which rearranges in the reaction medium to yield indenone (IV). The reaction of (IV) with hydrazine affords the phthalazinone (V), which is finally condensed with 4-chloroaniline (VI) by means of P2O5 and TEA at 170 C to provide the target phthalazine.

合成路线图解说明:

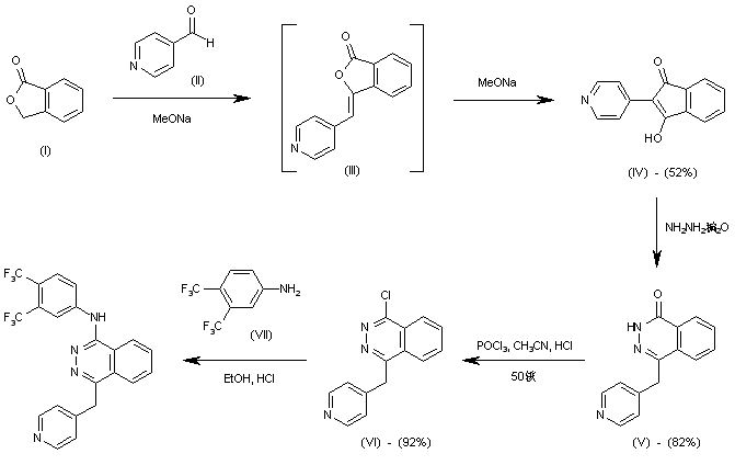
The reaction of phthalide (I) with pyridine-4-carbaldehyde (II) by means of NaOMe in methanol gives the nonisolated intermediate (III), which rearranges in the reaction medium to yield indenone (IV). The reaction of (IV) with hydrazine hydrate affords the phthalazinone (V), which was activated as the imidoyl chloride (VI) by means of POCl3 and then reacted with 3,4-bis(trifluoromethyl)aniline (VII) in ethanol to afford the 1-anilino-phthalazine.

合成路线图解说明:

The reaction of phthalide (I) with pyridine-4-carbaldehyde (II) by means of NaOMe in methanol gives the nonisolated intermediate (III), which rearranges in the reaction medium to yield indenone (IV). The reaction of (IV) with hydrazine hydrate affords the phthalazinone (V), which was activated as the imidoyl chloride (VI) by means of POCl3 and then reacted with 3-bromo-4-methylaniline (VII) in ethanol to afford the 1-anilino-phthalazine.

合成路线图解说明:

The reaction of phthalide (I) with pyridine-4-carbaldehyde (II) by means of NaOMe in methanol gives the nonisolated intermediate (III), which rearranges in the reaction medium to yield indenone (IV). The reaction of (IV) with hydrazine hydrate affords the phthalazinone (V), which was activated as the imidoyl chloride (VI) by means of POCl3 and then reacted with 3-bromo-5-trifluoromethylaniline (VII) in ethanol to afford the 1-anilino-phthalazine.

合成路线图解说明:

The reaction of phthalide (I) with pyridine-4-carbaldehyde (II) by means of NaOMe in methanol gives the nonisolated intermediate (III), which rearranges in the reaction medium to yield indenone (IV). The reaction of (IV) with hydrazine hydrate affords the phthalazinone (V), which was activated as the imidoyl chloride (VI) by means of POCl3 and then reacted with 3-chloro-5-trifluoromethylaniline (VII) in ethanol to afford the 1-anilino-phthalazine.

合成路线图解说明:

The reaction of phthalide (I) with pyridine-4-carbaldehyde (II) by means of NaOMe in methanol gives the nonisolated intermediate (III), which rearranges in the reaction medium to yield indenone (IV). The reaction of (IV) with hydrazine hydrate affords the phthalazinone (V), which was activated as the imidoyl chloride (VI) by means of POCl3 and then reacted with 4-chloro-3-trifluoromethylaniline (VII) in ethanol to afford the 1-anilino-phthalazine.

参考文献No.803925
标题:A Study of the chemistry of pyrophthalone and related compounds
作者:Manly, D.G.; Tilford, C.H.; Richardson, A.; Stock, A.M.; Amstutz, E.D.
来源:J Org Chem 1958,23373-80
合成路线图解说明:

The reaction of phthalide (I) with pyridine-4-carbaldehyde (II) by means of NaOMe in methanol gives the nonisolated intermediate (III), which rearranges in the reaction medium to yield indenone (IV). The reaction of (IV) with hydrazine affords the phthalazinone (V), which is finally condensed with 4-chloroaniline (VI) by means of P2O5 and TEA at 170 C to provide the target phthalazine.

合成路线图解说明:

The reaction of phthalide (I) with pyridine-4-carbaldehyde (II) by means of NaOMe in methanol gives the nonisolated intermediate (III), which rearranges in the reaction medium to yield indenone (IV). The reaction of (IV) with hydrazine hydrate affords the phthalazinone (V), which was activated as the imidoyl chloride (VI) by means of POCl3 and then reacted with 3,4-bis(trifluoromethyl)aniline (VII) in ethanol to afford the 1-anilino-phthalazine.

合成路线图解说明:

The reaction of phthalide (I) with pyridine-4-carbaldehyde (II) by means of NaOMe in methanol gives the nonisolated intermediate (III), which rearranges in the reaction medium to yield indenone (IV). The reaction of (IV) with hydrazine hydrate affords the phthalazinone (V), which was activated as the imidoyl chloride (VI) by means of POCl3 and then reacted with 3-bromo-4-methylaniline (VII) in ethanol to afford the 1-anilino-phthalazine.

合成路线图解说明:

The reaction of phthalide (I) with pyridine-4-carbaldehyde (II) by means of NaOMe in methanol gives the nonisolated intermediate (III), which rearranges in the reaction medium to yield indenone (IV). The reaction of (IV) with hydrazine hydrate affords the phthalazinone (V), which was activated as the imidoyl chloride (VI) by means of POCl3 and then reacted with 3-bromo-5-trifluoromethylaniline (VII) in ethanol to afford the 1-anilino-phthalazine.

合成路线图解说明:

The reaction of phthalide (I) with pyridine-4-carbaldehyde (II) by means of NaOMe in methanol gives the nonisolated intermediate (III), which rearranges in the reaction medium to yield indenone (IV). The reaction of (IV) with hydrazine hydrate affords the phthalazinone (V), which was activated as the imidoyl chloride (VI) by means of POCl3 and then reacted with 3-chloro-5-trifluoromethylaniline (VII) in ethanol to afford the 1-anilino-phthalazine.

合成路线图解说明:

The reaction of phthalide (I) with pyridine-4-carbaldehyde (II) by means of NaOMe in methanol gives the nonisolated intermediate (III), which rearranges in the reaction medium to yield indenone (IV). The reaction of (IV) with hydrazine hydrate affords the phthalazinone (V), which was activated as the imidoyl chloride (VI) by means of POCl3 and then reacted with 4-chloro-3-trifluoromethylaniline (VII) in ethanol to afford the 1-anilino-phthalazine.

参考文献No.803926
标题:beta-Dic閠o 閚amines h閠閞ocycliques: 1. Indanediones-1,3-disubstitut閑s en 2 par un h閠閞ocycle azot?
作者:Letourneux, Y.; Floc'h, R.; Le Baut, G.; Ploquin, J.; Sparfel, L.
来源:J Heterocycl Chem 1980,17961-73
合成路线图解说明:

The reaction of phthalide (I) with pyridine-4-carbaldehyde (II) by means of NaOMe in methanol gives the nonisolated intermediate (III), which rearranges in the reaction medium to yield indenone (IV). The reaction of (IV) with hydrazine affords the phthalazinone (V), which is finally condensed with 4-chloroaniline (VI) by means of P2O5 and TEA at 170 C to provide the target phthalazine.

合成路线图解说明:

The reaction of phthalide (I) with pyridine-4-carbaldehyde (II) by means of NaOMe in methanol gives the nonisolated intermediate (III), which rearranges in the reaction medium to yield indenone (IV). The reaction of (IV) with hydrazine hydrate affords the phthalazinone (V), which was activated as the imidoyl chloride (VI) by means of POCl3 and then reacted with 3,4-bis(trifluoromethyl)aniline (VII) in ethanol to afford the 1-anilino-phthalazine.

合成路线图解说明:

The reaction of phthalide (I) with pyridine-4-carbaldehyde (II) by means of NaOMe in methanol gives the nonisolated intermediate (III), which rearranges in the reaction medium to yield indenone (IV). The reaction of (IV) with hydrazine hydrate affords the phthalazinone (V), which was activated as the imidoyl chloride (VI) by means of POCl3 and then reacted with 3-bromo-4-methylaniline (VII) in ethanol to afford the 1-anilino-phthalazine.

合成路线图解说明:

The reaction of phthalide (I) with pyridine-4-carbaldehyde (II) by means of NaOMe in methanol gives the nonisolated intermediate (III), which rearranges in the reaction medium to yield indenone (IV). The reaction of (IV) with hydrazine hydrate affords the phthalazinone (V), which was activated as the imidoyl chloride (VI) by means of POCl3 and then reacted with 3-bromo-5-trifluoromethylaniline (VII) in ethanol to afford the 1-anilino-phthalazine.

合成路线图解说明:

The reaction of phthalide (I) with pyridine-4-carbaldehyde (II) by means of NaOMe in methanol gives the nonisolated intermediate (III), which rearranges in the reaction medium to yield indenone (IV). The reaction of (IV) with hydrazine hydrate affords the phthalazinone (V), which was activated as the imidoyl chloride (VI) by means of POCl3 and then reacted with 3-chloro-5-trifluoromethylaniline (VII) in ethanol to afford the 1-anilino-phthalazine.

合成路线图解说明:

The reaction of phthalide (I) with pyridine-4-carbaldehyde (II) by means of NaOMe in methanol gives the nonisolated intermediate (III), which rearranges in the reaction medium to yield indenone (IV). The reaction of (IV) with hydrazine hydrate affords the phthalazinone (V), which was activated as the imidoyl chloride (VI) by means of POCl3 and then reacted with 4-chloro-3-trifluoromethylaniline (VII) in ethanol to afford the 1-anilino-phthalazine.

参考文献No.803928
标题:CGP 79787D (PTK787/ZK222584), CGP 84738, NVP-AAC789, NVP-AAD777 and related 1-anilino-(4-pyridylmethyl)phthalazines as inhibitors of VEGF- and bFGF-induced angiogenesis
作者:Manley, P.W.; Martiny-Baron, G.; Br黦gen, J.; Mestan, J.; Meyer, T.; Wood, J.M.; Ferrari, S.; Hofmann, F.; Bold, G.; Frei, J.; Furet, P.; Cozens, R.M.
来源:Drugs Fut 2002,27(1),43
合成路线图解说明:

The reaction of phthalide (I) with pyridine-4-carbaldehyde (II) by means of NaOMe in methanol gives the nonisolated intermediate (III), which rearranges in the reaction medium to yield indenone (IV). The reaction of (IV) with hydrazine affords the phthalazinone (V), which is finally condensed with 4-chloroaniline (VI) by means of P2O5 and TEA at 170 C to provide the target phthalazine.

合成路线图解说明:

The reaction of phthalide (I) with pyridine-4-carbaldehyde (II) by means of NaOMe in methanol gives the nonisolated intermediate (III), which rearranges in the reaction medium to yield indenone (IV). The reaction of (IV) with hydrazine hydrate affords the phthalazinone (V), which was activated as the imidoyl chloride (VI) by means of POCl3 and then reacted with 3,4-bis(trifluoromethyl)aniline (VII) in ethanol to afford the 1-anilino-phthalazine.

合成路线图解说明:

The reaction of phthalide (I) with pyridine-4-carbaldehyde (II) by means of NaOMe in methanol gives the nonisolated intermediate (III), which rearranges in the reaction medium to yield indenone (IV). The reaction of (IV) with hydrazine hydrate affords the phthalazinone (V), which was activated as the imidoyl chloride (VI) by means of POCl3 and then reacted with 3-bromo-4-methylaniline (VII) in ethanol to afford the 1-anilino-phthalazine.

合成路线图解说明:

The reaction of phthalide (I) with pyridine-4-carbaldehyde (II) by means of NaOMe in methanol gives the nonisolated intermediate (III), which rearranges in the reaction medium to yield indenone (IV). The reaction of (IV) with hydrazine hydrate affords the phthalazinone (V), which was activated as the imidoyl chloride (VI) by means of POCl3 and then reacted with 3-bromo-5-trifluoromethylaniline (VII) in ethanol to afford the 1-anilino-phthalazine.

合成路线图解说明:

The reaction of phthalide (I) with pyridine-4-carbaldehyde (II) by means of NaOMe in methanol gives the nonisolated intermediate (III), which rearranges in the reaction medium to yield indenone (IV). The reaction of (IV) with hydrazine hydrate affords the phthalazinone (V), which was activated as the imidoyl chloride (VI) by means of POCl3 and then reacted with 3-chloro-5-trifluoromethylaniline (VII) in ethanol to afford the 1-anilino-phthalazine.

合成路线图解说明:

The reaction of phthalide (I) with pyridine-4-carbaldehyde (II) by means of NaOMe in methanol gives the nonisolated intermediate (III), which rearranges in the reaction medium to yield indenone (IV). The reaction of (IV) with hydrazine hydrate affords the phthalazinone (V), which was activated as the imidoyl chloride (VI) by means of POCl3 and then reacted with 4-chloro-3-trifluoromethylaniline (VII) in ethanol to afford the 1-anilino-phthalazine.

Drug Information Express,Drug R&D,Chemical Database,Patent Search.
Copyright © 2006-2026 Drug Future. All rights reserved.Contact Us