【药物名称】KRH-1636
化学结构式(Chemical Structure):
参考文献No.51806
标题:Nitrogenous cpds. and antiviral drugs containing the same
作者:Yamazaki, T.; Suzuki, S.; Yamamoto, N.; Hirose, K.; Yanaka, M.; Maruoka, H.; Mukade, T. (Kureha Chemical Industry Co. Ltd.)
来源:EP 1273571; WO 0179168
合成路线图解说明:

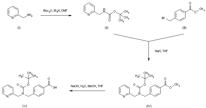
2-Picolylamine (I) is protected with Boc2O, and the resultant tert-butyl carbamate (II) is further alkylated with methyl 4-(bromomethyl)benzoate (III) to furnish (IV). Subsequent saponification of the methyl ester group of (IV) affords the carboxylic acid (V).

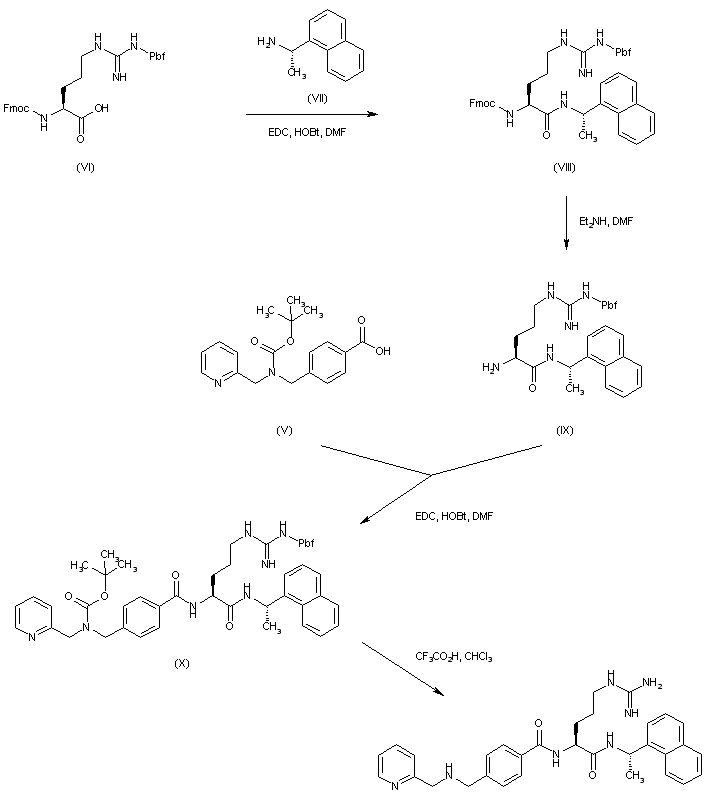
合成路线图解说明:

The protected arginine (VI) is coupled to (S)-1-naphthylethylamine (VII) in the presence of EDC/HOBt to give amide (VIII). Subsequent N-Fmoc group removal employing diethylamine in DMF leads to amine (IX), which is further condensed with carboxylic acid (V) yielding amide (X). Finally, trifluoroacetic acid-promoted cleavage of the N-Boc and N-Pbf protecting groups of (X) provides the title compound.

Drug Information Express,Drug R&D,Chemical Database,Patent Search.
Copyright © 2006-2026 Drug Future. All rights reserved.Contact Us