【药物名称】
化学结构式(Chemical Structure):
参考文献No.43832
标题:Thiourea inhibitors of herpes viruses
作者:Bloom, J.D.; Ross, A.A.; O'Hara, B.M.; Curran, K.J.; DiGrandi, M.J.; Dushin, R.G.; Lang, S.A.; Norton, E.B. (Wyeth)
来源:EP 1137632; JP 2002531545; WO 0034238
合成路线图解说明:

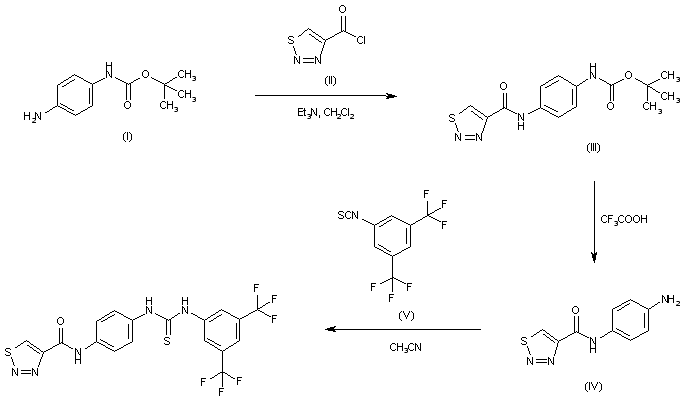
The mono-Boc-protected 1,4-phenylenediamine (I) was acylated with 1,2,3-thiadiazole-4-carbonyl chloride (II) to produce amide (III). After Boc group cleavage in (III) by means of trifluoroacetic acid, the resultant amine (IV) was condensed with 3,5-bis(trifluoromethyl)phenyl isothiocyanate (V) to afford the title thiourea.

参考文献No.43840
标题:Thiourea inhibitors of herpes viruses
作者:Bloom, J.D.; O'Hara, B.M.; DiGrandi, M.J.; Dushin, R.G.; Lang, S.A. (Wyeth)
来源:EP 1137647; JP 2002531557; WO 0034268
合成路线图解说明:

The mono-Boc-protected 1,4-phenylenediamine (I) was acylated with 1,2,3-thiadiazole-4-carbonyl chloride (II) to produce amide (III). After Boc group cleavage in (III) by means of trifluoroacetic acid, the resultant amine (IV) was condensed with 3,5-bis(trifluoromethyl)phenyl isothiocyanate (V) to afford the title thiourea.

参考文献No.43841
标题:Thiourea inhibitors of herpes viruses
作者:Bloom, J.D.; O'Hara, B.M.; DiGrandi, M.J.; Dushin, R.G.; Lang, S.A. (Wyeth)
来源:EP 1140913; JP 2002531558; WO 0034269
合成路线图解说明:

The mono-Boc-protected 1,4-phenylenediamine (I) was acylated with 1,2,3-thiadiazole-4-carbonyl chloride (II) to produce amide (III). After Boc group cleavage in (III) by means of trifluoroacetic acid, the resultant amine (IV) was condensed with 3,5-bis(trifluoromethyl)phenyl isothiocyanate (V) to afford the title thiourea.

参考文献No.43884
标题:Heterocyclic carboxamide-containing thiourea inhibitors of herpes viruses containing a substd. phenylenediamine group
作者:Jones, T.R.; Bloom, J.D.; Ross, A.A.; O'Hara, B.M.; Curran, K.J.; DiGrandi, M.J.; Dushin, R.G.; Lang, S.A.; Terefenko, E.A. (Wyeth)
来源:JP 2002533301; US 6166028; WO 0034261
合成路线图解说明:

The mono-Boc-protected 1,4-phenylenediamine (I) was acylated with 1,2,3-thiadiazole-4-carbonyl chloride (II) to produce amide (III). After Boc group cleavage in (III) by means of trifluoroacetic acid, the resultant amine (IV) was condensed with 3,5-bis(trifluoromethyl)phenyl isothiocyanate (V) to afford the title thiourea.

参考文献No.43885
标题:alpha-Methylbenzyl-containing thiourea inhibitors of herpes viruses containing a phenylenediamine group
作者:Bloom, J.D.; Ross, A.A.; O'Hara, B.M.; Curran, K.J.; DiGrandi, M.J.; Dushin, R.G.; Lang, S.A.; Norton, E.B. (Wyeth)
来源:JP 2002531555; WO 0034260
合成路线图解说明:

The mono-Boc-protected 1,4-phenylenediamine (I) was acylated with 1,2,3-thiadiazole-4-carbonyl chloride (II) to produce amide (III). After Boc group cleavage in (III) by means of trifluoroacetic acid, the resultant amine (IV) was condensed with 3,5-bis(trifluoromethyl)phenyl isothiocyanate (V) to afford the title thiourea.

参考文献No.43886
标题:Heterocyclic carboxamide-containing thiourea inhibitors of herpes viruses containing phenylenediamine group
作者:Jones, T.R.; Bloom, J.D.; Ross, A.A.; O'Hara, B.M.; Curran, K.J.; DiGrandi, M.J.; Dushin, R.G.; Lang, S.A.; Terefenko, E.A. (Wyeth)
来源:JP 2002531554; WO 0034258
合成路线图解说明:

The mono-Boc-protected 1,4-phenylenediamine (I) was acylated with 1,2,3-thiadiazole-4-carbonyl chloride (II) to produce amide (III). After Boc group cleavage in (III) by means of trifluoroacetic acid, the resultant amine (IV) was condensed with 3,5-bis(trifluoromethyl)phenyl isothiocyanate (V) to afford the title thiourea.

参考文献No.58061
标题:Acetamide and substd. acetamide-containing thiourea inhibitors of herpes viruses
作者:Bloom, J.D.; O'Hara, B.M.; DiGrandi, M.J.; Dushin, R.G.; Lang, S.A. (Wyeth)
来源:JP 2002531544; WO 0034237
合成路线图解说明:

The mono-Boc-protected 1,4-phenylenediamine (I) was acylated with 1,2,3-thiadiazole-4-carbonyl chloride (II) to produce amide (III). After Boc group cleavage in (III) by means of trifluoroacetic acid, the resultant amine (IV) was condensed with 3,5-bis(trifluoromethyl)phenyl isothiocyanate (V) to afford the title thiourea.

参考文献No.645812
标题:Potent novel thioureas as inhibitors of human cytomegalovirus
作者:Feld, B.; Bloom, J.; Norton, E.; Dushin, R.; Di Grandi, M.J.; Curran, K.; Jones, T.
来源:40th Intersci Conf Antimicrob Agents Chemother (Sept 17 2000, Toronto) 2001,Abst 1895
合成路线图解说明:

The mono-Boc-protected 1,4-phenylenediamine (I) was acylated with 1,2,3-thiadiazole-4-carbonyl chloride (II) to produce amide (III). After Boc group cleavage in (III) by means of trifluoroacetic acid, the resultant amine (IV) was condensed with 3,5-bis(trifluoromethyl)phenyl isothiocyanate (V) to afford the title thiourea.

Drug Information Express,Drug R&D,Chemical Database,Patent Search.
Copyright © 2006-2026 Drug Future. All rights reserved.Contact Us