【药物名称】UCM-707
化学结构式(Chemical Structure):
参考文献No.53866
标题:Novel araquidonic acid derivs. with affinity toward the anandamide transporter
作者:Lopez Rodriguez, M.L.; Viso Beronda, A.; Ortega Gutierrez, S.; Latres Becker, I.; Gonzalez Rodriguez de Castro, S.; Fernandez Ruiz, J.J.; Ramos Atance, J.A. (Universidad Complutense de Madrid)
来源:WO 0212167
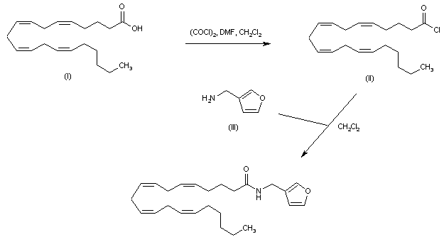
合成路线图解说明:

Arachidonic acid (I) is converted to the corresponding acid chloride (II) by treatment with oxalyl chloride and DMF. Subsequent condensation of acid chloride (II) with 3-furylmethylamine (III) leads to the desired arachidonic acid amide.

参考文献No.645563
标题:Design, synthesis and biological evaluation of novel arachidonic acis derivatives as highly potent and selective endocannabinoid transporter inhibitors
作者:L髉ez-Rodr韌uez, M.L.; Viso, A.; Ortega-Guti閞rez, S.; Lastres-Becker, I.; Gonz醠ez, S.; Fern醤dez-Ruiz, J.; Ramos, J.A.
来源:J Med Chem 2001,44(26),4505
合成路线图解说明:

Arachidonic acid (I) is converted to the corresponding acid chloride (II) by treatment with oxalyl chloride and DMF. Subsequent condensation of acid chloride (II) with 3-furylmethylamine (III) leads to the desired arachidonic acid amide.

Drug Information Express,Drug R&D,Chemical Database,Patent Search.
Copyright © 2006-2026 Drug Future. All rights reserved.Contact Us