【药物名称】UR-8962
化学结构式(Chemical Structure):
参考文献No.52130
标题:Novel heterocyclic cpds. with anti-inflammatory activity
作者:Almansa Rosales, C.; Gonzalez Gonzalez, C.; Torres Barreda, M.C. (J. Uriach & C韆., SA)
来源:EP 1281709; ES 2166710; WO 0183475
合成路线图解说明:

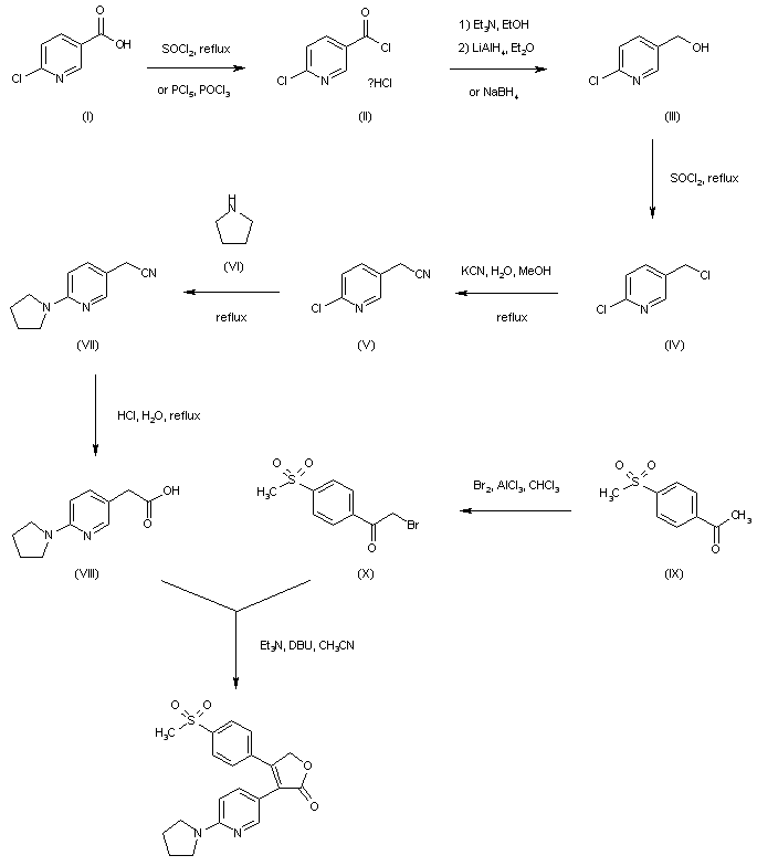
6-Chloronicotinic acid (I) is converted to the corresponding acid chloride (II) employing either SOCl2 or PCl5/POCl3. Treatment of acid chloride (II) with EtOH and Et3N, followed by reduction of the resultant ethyl ester with LiAlH4, furnishes 6-chloro-3-pyridylmethanol (III). Alcohol (III) is alternatively prepared by NaBH4 reduction of acid chloride (II). Chlorination of (III) by using SOCl2 gives the chloromethyl pyridine (IV), and further chloride displacement with KCN leads to nitrile (V). Substitution of the remaining chloride group of (V) upon heating with pyrrolidine (VI) furnishes the pyrrolidinyl pyridine (VII). Then hydrolysis of the nitrile function of (VII) under acidic conditions provides carboxylic acid (VIII). Bromination of 4-(methylsulfonyl)acetophenone (IX) in the presence of AlCl3 produces the phenacyl bromide (X). Finally, condensation between acid (VIII) and bromo ketone (X) under basic conditions gives rise to the title diaryl furanone

参考文献No.686801
标题:Synthesis and SAR of 4-pyrrolidinylarylheterocycles as COX-2 selective inhibitors
作者:Almansa, C.; Alf髇, J.; Cavalcanti, F.L.; G髆ez, L.; Miralles, A.
来源:Drugs Fut 2002,27(Suppl. A),
合成路线图解说明:

6-Chloronicotinic acid (I) is converted to the corresponding acid chloride (II) employing either SOCl2 or PCl5/POCl3. Treatment of acid chloride (II) with EtOH and Et3N, followed by reduction of the resultant ethyl ester with LiAlH4, furnishes 6-chloro-3-pyridylmethanol (III). Alcohol (III) is alternatively prepared by NaBH4 reduction of acid chloride (II). Chlorination of (III) by using SOCl2 gives the chloromethyl pyridine (IV), and further chloride displacement with KCN leads to nitrile (V). Substitution of the remaining chloride group of (V) upon heating with pyrrolidine (VI) furnishes the pyrrolidinyl pyridine (VII). Then hydrolysis of the nitrile function of (VII) under acidic conditions provides carboxylic acid (VIII). Bromination of 4-(methylsulfonyl)acetophenone (IX) in the presence of AlCl3 produces the phenacyl bromide (X). Finally, condensation between acid (VIII) and bromo ketone (X) under basic conditions gives rise to the title diaryl furanone

Drug Information Express,Drug R&D,Chemical Database,Patent Search.
Copyright © 2006-2026 Drug Future. All rights reserved.Contact Us