【药物名称】GSQ-1530
化学结构式(Chemical Structure):
参考文献No.645620
标题:HARP: A novel class of antibiotics
作者:Burli, R.; et al.
来源:41st Intersci Conf Antimicrob Agents Chemother (Dec 16 2001, Chicago) 2001,Abst F-1685
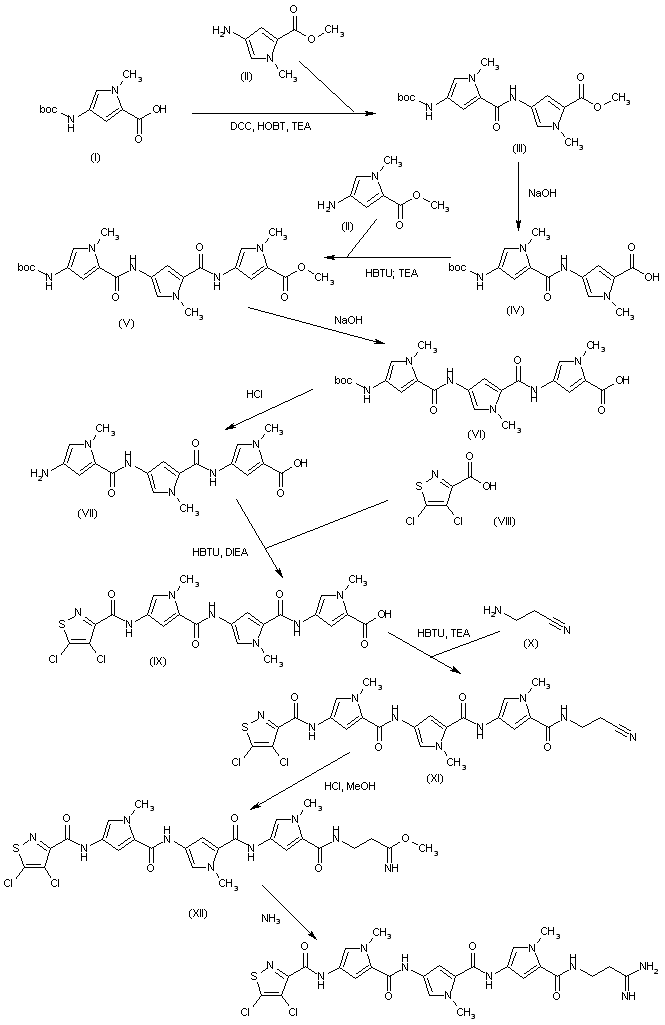
合成路线图解说明:

The condensation of 4-(tert-butoxycarbonylamino)-1-methyl-1H-pyrrole-2-carboxylic acid (I) with 4-amino-1-methyl-1H-pyrrole-2-carboxylic acid methyl ester (II) by means of DCC, HOBT and TEA in hot DMF gives the dimeric amide (III), which is hydrolyzed with NaOH in hot methanol/water to yield the carboxylic acid (IV). The condensation of (IV) with methyl ester (II) by means of HBTU and TEA in hot DMF affords the trimeric diamide (V), which is hydrolyzed with NaOH in methanol/water to provide the carboxylic acid (VI). The deprotection of the carbamate group of (VI) with HCl in ethyl acetate gives the trimeric amino acid (VII), which is condensed with 4,5-dichloroisothiazole-3-carboxylic acid (VIII) by means of HBTU and DIEA in DMF to yield the tetrameric carboxylic acid (IX). The condensation of (IX) with 3-aminopropionitrile (X) by means of HBTU and TEA in DMF affords the corresponding tetrameric tetraamide (XI), which is treated with gaseous HCl in methanol to provide the iminoester (XII). Finally, this compound is treated with NH3 in methanol to furnish the target carboxamidine.

Drug Information Express,Drug R&D,Chemical Database,Patent Search.
Copyright © 2006-2026 Drug Future. All rights reserved.Contact Us