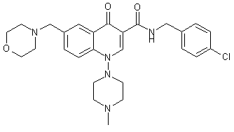
【药物名称】PNU-276484
化学结构式(Chemical Structure):
参考文献No.44233
标题:Quinolinecarboxamides as antiviral agents
作者:Thaisrivongs, S.; Strohbach, J.W.; Turner, S.R.; Vaillancourt, V.A.; Tucker, J.A.; Schnute, M.E. (Pharmacia Corp.)
来源:EP 1140850; US 6248739; WO 0040561
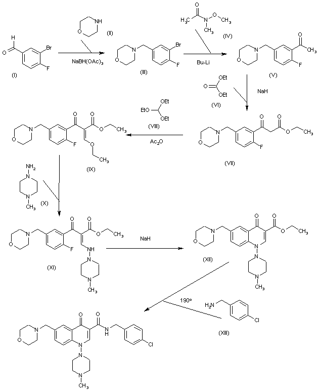
合成路线图解说明:

The reductocondensation of 3-bromo-4-fluorobenzaldehyde (I) with morpholine (II) by means of NaBH(OAc)3 in dichloroethane gives 4-(3-bromo-4-fluorobenzyl)morpholine (III), which is condensed with N-methoxy-N-methylacetamide (IV) by means of BuLi in THF to yield 1-[2-fluoro-5-(4-morpholinylmethyl)phenyl]ethanone (V). The reaction of (V) with an excess diethyl carbonate (VI) by means of NaH affords the 3-oxopropanoate derivative (VII), which is treated with triethyl orthoformate (VIII) and Ac2O at 150 C to provide the ethoxymethylene compound (IX). The reaction of (IX) with morpholine-4-amine (X) in ethanol gives the aminomethylene derivative (XI), which is cyclized by means of NaH in hot THF to yield the quinolone-3-carboxylate (XII). Finally, this compound is condensed with 4-chlorobenzylamine (XIII) by heating at 190 C to afford the target quinolone-3-carboxamide.

合成路线图解说明:

The reductocondensation of 3-bromo-4-fluorobenzaldehyde (I) with morpholine (II) by means of NaBH(OAc)3 in dichloroethane gives 4-(3-bromo-4-fluorobenzyl)morpholine (III), which is condensed with N-methoxy-N-methylacetamide (IV) by means of BuLi in THF to yield 1-[2-fluoro-5-(4-morpholinylmethyl)phenyl]ethanone (V). The reaction of (V) with an excess diethyl carbonate (VI) by means of NaH affords the 3-oxopropanoate derivative (VII), which is treated with triethyl orthoformate (VIII) and Ac2O at 150 C to provide the ethoxymethylene compound (IX). The reaction of (IX) with piperazine-1-amine (X) in ethanol gives the aminomethylene derivative (XI), which is cyclized by means of NaH in hot THF to yield the quinolone-3-carboxylate (XII). Finally, this compound is condensed with 4-chlorobenzylamine (XIII) by heating at 190 C to afford the target quinolone-3-carboxamide.

参考文献No.645623
标题:1-Amino-4-oxo-1,4-dihydroquinolines with broad-spectrum antiherpetic activity
作者:Pargas, R.E.M.; Tucker, J.A.; Schnute, M.E.; et al.
来源:41st Intersci Conf Antimicrob Agents Chemother (Dec 16 2001, Chicago) 2001,Abst F-1669
合成路线图解说明:

The reductocondensation of 3-bromo-4-fluorobenzaldehyde (I) with morpholine (II) by means of NaBH(OAc)3 in dichloroethane gives 4-(3-bromo-4-fluorobenzyl)morpholine (III), which is condensed with N-methoxy-N-methylacetamide (IV) by means of BuLi in THF to yield 1-[2-fluoro-5-(4-morpholinylmethyl)phenyl]ethanone (V). The reaction of (V) with an excess diethyl carbonate (VI) by means of NaH affords the 3-oxopropanoate derivative (VII), which is treated with triethyl orthoformate (VIII) and Ac2O at 150 C to provide the ethoxymethylene compound (IX). The reaction of (IX) with morpholine-4-amine (X) in ethanol gives the aminomethylene derivative (XI), which is cyclized by means of NaH in hot THF to yield the quinolone-3-carboxylate (XII). Finally, this compound is condensed with 4-chlorobenzylamine (XIII) by heating at 190 C to afford the target quinolone-3-carboxamide.

合成路线图解说明:

The reductocondensation of 3-bromo-4-fluorobenzaldehyde (I) with morpholine (II) by means of NaBH(OAc)3 in dichloroethane gives 4-(3-bromo-4-fluorobenzyl)morpholine (III), which is condensed with N-methoxy-N-methylacetamide (IV) by means of BuLi in THF to yield 1-[2-fluoro-5-(4-morpholinylmethyl)phenyl]ethanone (V). The reaction of (V) with an excess diethyl carbonate (VI) by means of NaH affords the 3-oxopropanoate derivative (VII), which is treated with triethyl orthoformate (VIII) and Ac2O at 150 C to provide the ethoxymethylene compound (IX). The reaction of (IX) with piperazine-1-amine (X) in ethanol gives the aminomethylene derivative (XI), which is cyclized by means of NaH in hot THF to yield the quinolone-3-carboxylate (XII). Finally, this compound is condensed with 4-chlorobenzylamine (XIII) by heating at 190 C to afford the target quinolone-3-carboxamide.

Drug Information Express,Drug R&D,Chemical Database,Patent Search.
Copyright © 2006-2026 Drug Future. All rights reserved.Contact Us