【药物名称】AM-113
化学结构式(Chemical Structure):
参考文献No.645589
标题:Synthesis and antibacterial activity of 1'R,5R,6R)-2-tert-butyl-6-(1'hydroxyethyl)oxapenem-3-carboxylic acid
作者:Pfaendler, H.R.; Weisner, F.
来源:Bioorg Med Chem Lett 1993,3(11),2211
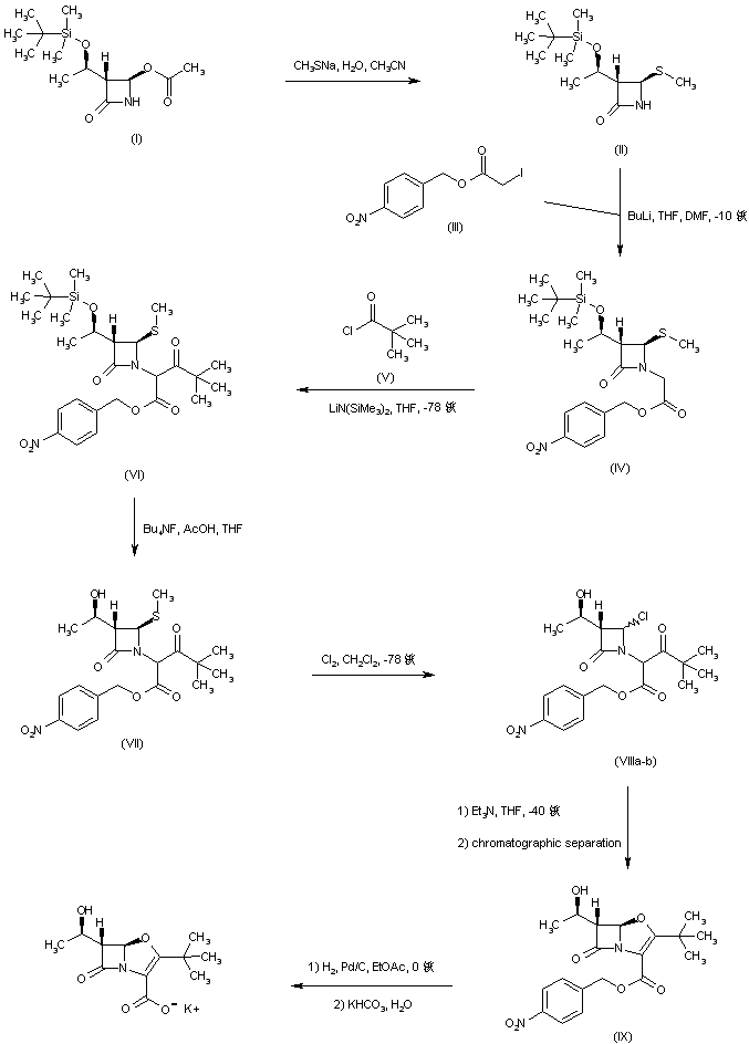
合成路线图解说明:

Azetidinone acetate (I) was treated with sodium methanethiolate to produce thioether (II). Lactam (II) N-alkylation with p-nitrobenzyl iodoacetate (III) furnished the azetidineacetate (IV). The lithium enolate of ester (IV) was subsequently acylated with pivaloyl chloride (V) at low temperature to afford keto ester (VI). The silyl protecting group of (VI) was then removed by treatment with tetrabutylammonium fluoride, yielding alcohol (VII). Chlorination of (VII) with concomitant oxidative cleavage of the methylthio group at -78 C gave rise to the chloroazetidine (VIII). Cyclization of (VIII) to the key oxapenem bicyclic system was accomplished by treatment with triethylamine in cold THF. Chromatographic separation of the resultant mixture of cis/trans bicyclic compounds afforded the desired isomer (IX). After hydrogenolysis of the p-nitrobenzyl ester group of (IX), the resultant carboxylic acid was converted to the required potassium salt by treatment with aqueous potassium bicarbonate.

Drug Information Express,Drug R&D,Chemical Database,Patent Search.
Copyright © 2006-2026 Drug Future. All rights reserved.Contact Us