【药物名称】GI-448
化学结构式(Chemical Structure):
参考文献No.45386
标题:Erythromycin derivs.
作者:Yoshida, T.; Narita, K.; Kato, H.; Kado, N.; Nishimoto, A. (Hokuriku Seiyaku Co., Ltd.)
来源:EP 1167375; JP 2000351794; WO 0061593
合成路线图解说明:

The title erythromycin O-(phenoxypropyl)oxime was prepared by alkylation of the known erythromycin A 9-oxime (I) with 3-phenoxypropyl bromide (II) under phase-transfer conditions in the presence of KOH and tetrabutylammonium iodide in THF.

合成路线图解说明:

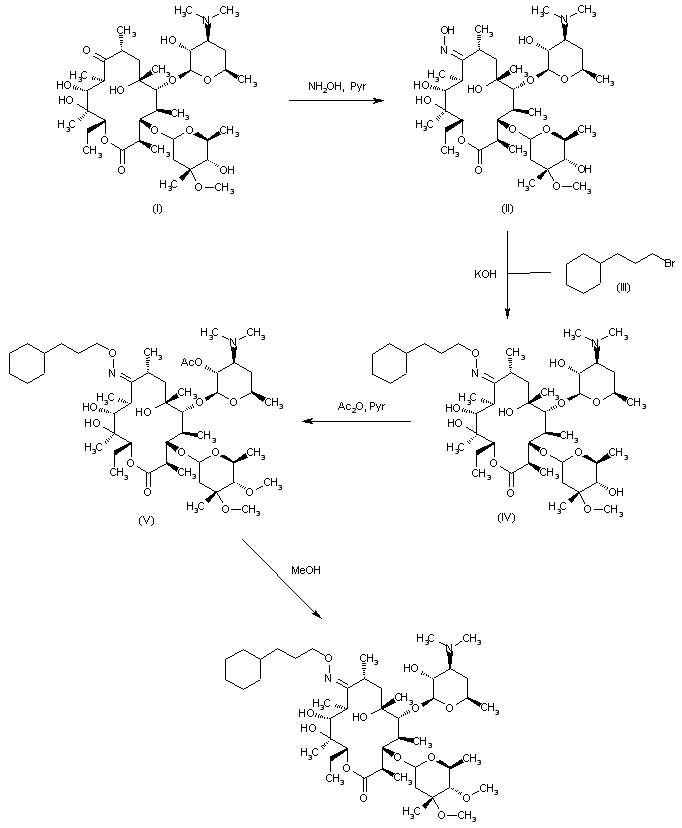
The reaction of erythromycin A (I) with hydroxylamine in pyridine gives the corresponding oxime (II), which is alkylated with 3-cyclohexylpropyl bromide (III), KOH and tetrabutylammonium iodide in THF to yield the O-alkylated oxime (IV). The reaction of (IV) with Ac2O in pyridine affords the diacetoxyerythromycin A (V), which is finally selectively monodeacetylated in methanol at room temperature to provide the target 4''-O-acetyl derivative.

参考文献No.645440
标题:Discovery and SAR of macrolide agents with potent activities against Mycobacterium avium-complex
作者:Yoshida, T.; Kato, H.; Nishimoto, A.; Watanabe, Y.; Okezaki, E.; Takahashi, U.; Nagata, O.; Yoshizume, S.
来源:41st Intersci Conf Antimicrob Agents Chemother (Dec 16 2001, Chicago) 2001,Abst F-1176
合成路线图解说明:

The reaction of erythromycin A (I) with hydroxylamine in pyridine gives the corresponding oxime (II), which is alkylated with 3-cyclohexylpropyl bromide (III), KOH and tetrabutylammonium iodide in THF to yield the O-alkylated oxime (IV). The reaction of (IV) with Ac2O in pyridine affords the diacetoxyerythromycin A (V), which is finally selectively monodeacetylated in methanol at room temperature to provide the target 4''-O-acetyl derivative.

Drug Information Express,Drug R&D,Chemical Database,Patent Search.
Copyright © 2006-2026 Drug Future. All rights reserved.Contact Us