【药物名称】S-3578
化学结构式(Chemical Structure):
参考文献No.43766
标题:Imidazo[4,5-b]pyridiniummethyl-containing cephem cpds. having broad antibacterial spectrum
作者:Itani, H.; Nishitani, Y.; Irie, T. (Shionogi & Co. Ltd.)
来源:EP 1134222; WO 0032606
合成路线图解说明:

The intermediate 1-substituted imidazopyridine (III) was prepared by several procedures. Alkylation of imidazo[4,5-b]pyridine (I) with mesylate (II) in the presence of NaH provided a mixture of the desired compound (III) and its 3-substituted regioisomer (IV), which were separated by column chromatography.

合成路线图解说明:

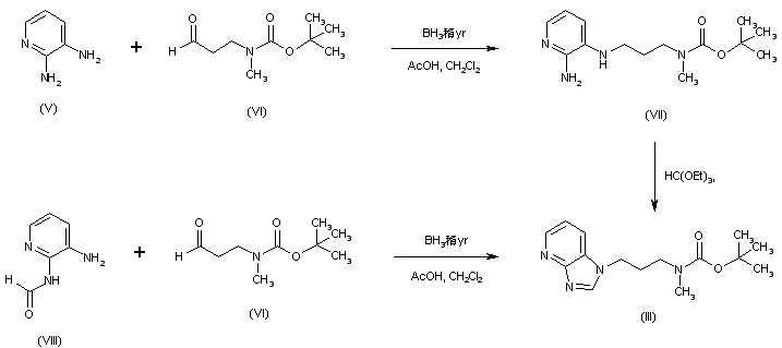
In a different strategy, reductive alkylation of 2,3-diaminopyridine (V) with aldehyde (VI) using borane-pyridine complex yielded regioselectively the 3-alkylamino pyridine (VII). Subsequent cyclization of (VII) with triethyl orthoformate afforded the desired imidazopyridine (III). In an alternative, more direct procedure, the bicyclic compound (III) was obtained by reductive condensation of the 2-formamido derivative (VIII) with aldehyde (VI) in the presence of borane-pyridine complex.

合成路线图解说明:

Imidazopyridine (III) was alkylated either with the iodomethyl cephem derivative (IX) or with the chloromethyl analogue (X) in the presence of NaBr to obtain a mixture of the desired 4-alkylated imidazopyridinium salt (XI) and the 3-alkylated isomer (XII). After acidic cleavage of the N-Boc and PMB protecting groups of (XI) and (XII), the corresponding mixture of deprotected compounds was separated by column chromatography. The target 4-alkylated imidazopyridinium derivative was finally converted to the title sulfate salt.

参考文献No.645171
标题:S-3578, a new broad-spectrum cephalosporin: I. Synthesis and structure-activity relationships
作者:Miwa, H.; Yoshida, T.; Shimada, J.; Kuwahara, S.; Nishitani, Y.
来源:41st Intersci Conf Antimicrob Agents Chemother (Dec 16 2001, Chicago) 2001,Abst F-370
合成路线图解说明:

The intermediate 1-substituted imidazopyridine (III) was prepared by several procedures. Alkylation of imidazo[4,5-b]pyridine (I) with mesylate (II) in the presence of NaH provided a mixture of the desired compound (III) and its 3-substituted regioisomer (IV), which were separated by column chromatography.

合成路线图解说明:

In a different strategy, reductive alkylation of 2,3-diaminopyridine (V) with aldehyde (VI) using borane-pyridine complex yielded regioselectively the 3-alkylamino pyridine (VII). Subsequent cyclization of (VII) with triethyl orthoformate afforded the desired imidazopyridine (III). In an alternative, more direct procedure, the bicyclic compound (III) was obtained by reductive condensation of the 2-formamido derivative (VIII) with aldehyde (VI) in the presence of borane-pyridine complex.

合成路线图解说明:

Imidazopyridine (III) was alkylated either with the iodomethyl cephem derivative (IX) or with the chloromethyl analogue (X) in the presence of NaBr to obtain a mixture of the desired 4-alkylated imidazopyridinium salt (XI) and the 3-alkylated isomer (XII). After acidic cleavage of the N-Boc and PMB protecting groups of (XI) and (XII), the corresponding mixture of deprotected compounds was separated by column chromatography. The target 4-alkylated imidazopyridinium derivative was finally converted to the title sulfate salt.

参考文献No.703336
标题:S-3578, a new broad spectrum parenteral cephalosporin exhibiting potent activity against both methicillin-resistant Staphylococcus aureus (MRSA) and Pseudomonas aeruginosa synthesis and structure-activity relationships
作者:Itani, H.; et al.
来源:22nd Symp Med Chem (Nov 27 2002, Shizuoka) 2002,Abst 1P-16
合成路线图解说明:

The intermediate 1-substituted imidazopyridine (III) was prepared by several procedures. Alkylation of imidazo[4,5-b]pyridine (I) with mesylate (II) in the presence of NaH provided a mixture of the desired compound (III) and its 3-substituted regioisomer (IV), which were separated by column chromatography.

合成路线图解说明:

In a different strategy, reductive alkylation of 2,3-diaminopyridine (V) with aldehyde (VI) using borane-pyridine complex yielded regioselectively the 3-alkylamino pyridine (VII). Subsequent cyclization of (VII) with triethyl orthoformate afforded the desired imidazopyridine (III). In an alternative, more direct procedure, the bicyclic compound (III) was obtained by reductive condensation of the 2-formamido derivative (VIII) with aldehyde (VI) in the presence of borane-pyridine complex.

合成路线图解说明:

Imidazopyridine (III) was alkylated either with the iodomethyl cephem derivative (IX) or with the chloromethyl analogue (X) in the presence of NaBr to obtain a mixture of the desired 4-alkylated imidazopyridinium salt (XI) and the 3-alkylated isomer (XII). After acidic cleavage of the N-Boc and PMB protecting groups of (XI) and (XII), the corresponding mixture of deprotected compounds was separated by column chromatography. The target 4-alkylated imidazopyridinium derivative was finally converted to the title sulfate salt.

参考文献No.707345
标题:S-3578, a new broad spectrum parenteral cephalosporin exhibiting potent activity against both methicillin-resistant Staphylococcus aureus (MRSA) and Pseudomonas aeruginosa synthesis and structure-activity relationships
作者:Yoshizawa, H.; Itani, H.; Ishikura, K.; Irie, T.; Yokoo, K.; Kubota, T.; Minami, K.; Iwaki, T.; Miwa, H.; Nishitani, Y.
来源:J Antibiot 2002,55(11),975
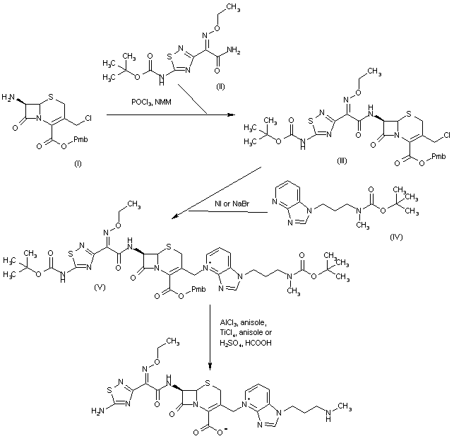
合成路线图解说明:

The condensation of the aminocephem derivative (I) with the ethoxyiminoacetic acid (II) by means of POCl3 and NMM gives the corresponding amide (III), which is condensed with the imidazo pyridine (IV) by means of NaI or NaBr to yield the protected imidazopyridinium salt (V). Finally, this compound is deprotected by means of AlCl3 and anisole, TiCl4 and anisole or sulfuric and formic acids to afford the target cephem-carboxylate derivative.

Drug Information Express,Drug R&D,Chemical Database,Patent Search.
Copyright © 2006-2026 Drug Future. All rights reserved.Contact Us