【药物名称】Tandutinib, MLN-518, CT-53518(former code name)
化学结构式(Chemical Structure):
参考文献No.54232
标题:Quinazoline derivs. as kinase inhibitors
作者:Nomoto, Y.; Scarborough, R.M.; Ichimura, M.; Fujiwara, S.; Ide, S.; Oda, S.; Pandey, A.; Tsukuda, E.; Matsuno, K.; Irie, J. (Kyowa Hakko Kogyo Co., Ltd.; Millennium Pharmaceuticals, Inc.)
来源:WO 0216351
合成路线图解说明:

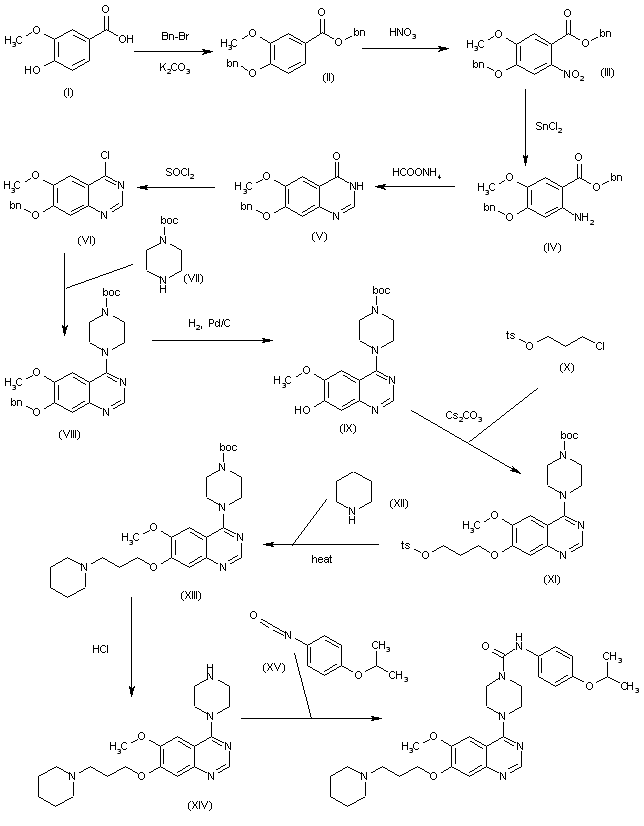
The esterification of vanillic acid (I) with benzyl bromide and K2CO3 in DMF gives the protected benzyl ester (II), which is nitrated with conc. HNO3 in acetic acid to yield 4-benzyloxy-5-methoxy-2-nitrobenzoic acid benzyl ester (III). The reduction of (III) with SnCl2 in ethyl acetate affords the corresponding 2-amino compound (IV), which is cyclized with ammonium formate in DMF at 150 C to provide the quinazolinone (V). The reaction of (V) with refluxing SOCl2 gives the chloro derivative (VI), which is condensed with 1-(tert-butoxycarbonyl)piperazine (VII) by means of DIEA in hot THF to give the 4-piperazinyl quinazoline (VIII). The reductive cleavage of the benzyl protecting group of (VIII) by means of H2 over Pd/C in ethanol yields the hydroxy compound (IX), which is condensed with 3-(tosyloxy)propyl chloride (X) by means of Cs2CO3 in DMF to afford the corresponding ether (XI). The reaction of the tosyloxy group of (XI) with piperidine (XII) in DMF provides the piperidinyl derivative (XIII), which is Boc deprotected by treatment with HCl in dioxane to give the piperazinyl precursor (XIV). Finally, this compound is condensed with 4-isopropoxyphenyl isocyanate (XV) in DMF to yield the target piperazine carboxamide.

合成路线图解说明:

The esterification of vanillic acid (I) with benzyl bromide and K2CO3 in DMF gives the protected benzyl ester (II), which is nitrated with conc. HNO3 in acetic acid to yield 4-benzyloxy-5-methoxy-2-nitrobenzoic acid benzyl ester (III). The reduction of (III) with SnCl2 in ethyl acetate affords the corresponding 2-amino compound (IV), which is cyclized with ammonium formate in DMF at 150 C to provide the quinazolinone (V). The reaction of (V) with refluxing SOCl2 gives the chloro derivative (VI), which is condensed with 1-(tert-butoxycarbonyl)piperazine (VII) by means of DIEA in hot THF to give the 4-piperazinyl quinazoline (VIII). The reductive cleavage of the benzyl protecting group of (VIII) by means of H2 over P/C in ethanol yields the hydroxy compound (IX), which is condensed with 3-(tosyloxy)propyl chloride (X) by means of Cs2CO3 in DMF to afford the corresponding ether (XI). The reaction of the tosyloxy group of (XI) with morpholine (XII) in DMF provides the morpholinyl derivative (XIII), which is Boc deprotected by treatment with HCl in dioxane to give the piperazinyl precursor (XIV). Finally, this compound is condensed with 4-isopropoxyphenyl isocyanate (XV) in DMF to yield the target piperazine carboxamide.

参考文献No.685854
标题:Identification of orally active, potent, and selective 4-piperazinylquinazolines as antagonists of the platelet-derived growth factor receptor tyrosine kinase family
作者:Pandey, A.; Volkots, D.L.; Seroogy, J.M.; Rose, J.W.; Yu, J.C.; Lambing, J.L.; Hutchaleelaha, A.; Hollenbach, S.J.; Abe, K.; Giese, N.A.; Scarborough, R.M.
来源:J Med Chem 2002,45(17),3772
合成路线图解说明:

The esterification of vanillic acid (I) with benzyl bromide and K2CO3 in DMF gives the protected benzyl ester (II), which is nitrated with conc. HNO3 in acetic acid to yield 4-benzyloxy-5-methoxy-2-nitrobenzoic acid benzyl ester (III). The reduction of (III) with SnCl2 in ethyl acetate affords the corresponding 2-amino compound (IV), which is cyclized with ammonium formate in DMF at 150 C to provide the quinazolinone (V). The reaction of (V) with refluxing SOCl2 gives the chloro derivative (VI), which is condensed with 1-(tert-butoxycarbonyl)piperazine (VII) by means of DIEA in hot THF to give the 4-piperazinyl quinazoline (VIII). The reductive cleavage of the benzyl protecting group of (VIII) by means of H2 over Pd/C in ethanol yields the hydroxy compound (IX), which is condensed with 3-(tosyloxy)propyl chloride (X) by means of Cs2CO3 in DMF to afford the corresponding ether (XI). The reaction of the tosyloxy group of (XI) with piperidine (XII) in DMF provides the piperidinyl derivative (XIII), which is Boc deprotected by treatment with HCl in dioxane to give the piperazinyl precursor (XIV). Finally, this compound is condensed with 4-isopropoxyphenyl isocyanate (XV) in DMF to yield the target piperazine carboxamide.

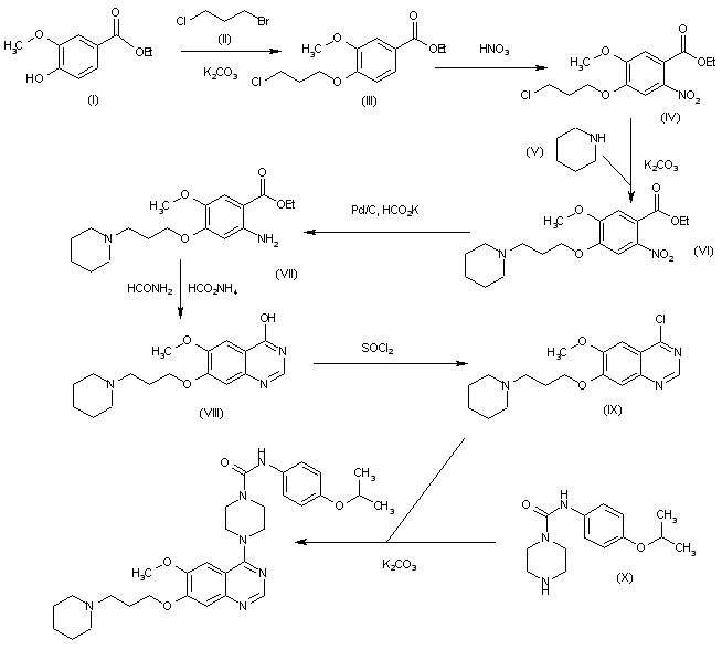
合成路线图解说明:

The condensation of 4-hydroxy-3-methoxybenzoic acid ethyl ester (I) with 3-chloropropyl bromide (II) by means of K2CO3 in refluxing DMF gives the 4(3-chloropropoxy)-3-methoxybenzoic acid ethyl ester (III), which is nitrated by means of HNO3 and AcOH to yield the 2-nitro derivative (IV). The condensation of (IV) with piperidine (V) by means of K2CO3 in hot toluene affords 5-methoxy-2-nitro-4-[3-(1-piperidinyl)propoxy]benzoic acid ethyl ester (VI), which is reduced by means of Pd/C and HCO2K in ethanol/water to provide the 2-amino derivative (VII). The cyclization of (VII) with formamide and ammonium formate at 135 C gives the quinazoline (VIII), which is treated with SOCl2 in refluxing toluene to yield the chloro derivative (IX). Finally this compound is condensed with the piperazinecarboxamide (X) by means of K2CO3 in hot DMF/toluene to afford the target CT-53518.

Drug Information Express,Drug R&D,Chemical Database,Patent Search.
Copyright © 2006-2026 Drug Future. All rights reserved.Contact Us