【药物名称】SU-11654
化学结构式(Chemical Structure):
参考文献No.50754
标题:Pyrrole substd. 2-indolinone protein kinase inhibitors
作者:Wei, C.C.; Miller, T.; Tang, P.C.; Nematalla, A.S.; Li, X.; Liang, C.; Shirazian, S.; Su, L.; Vojkovsky, T. (Sugen, Inc.)
来源:EP 1255752; US 2002156292; US 6573293; WO 0160814
合成路线图解说明:

Nitrosation of tert-butyl acetoacetate (I) with NaNO2/AcOH produces the oximino ester (II). Reductive cyclization of (II) with ethyl acetoacetate (III) in the presence of Zn/AcOH leads to the pyrrole dicarboxylate (IV). Selective decarboxylation of the t-butyl ester of (IV) under acidic conditions, followed by Vilsmeier formylation of the intermediate ethyl 2,4-dimethylpyrrole-3-carboxylate furnishes the pyrrole aldehyde (V). Alternatively, this compound is directly obtained from (IV) upon treatment with trimethyl orthoformate and trifluoroacetic acid. Basic hydrolysis of the ethyl ester group of (V) yields the pyrrolecarboxylic acid (VI). This is coupled to 2-(diethylamino)ethylamine (VII) to afford the corresponding amide (VIII).

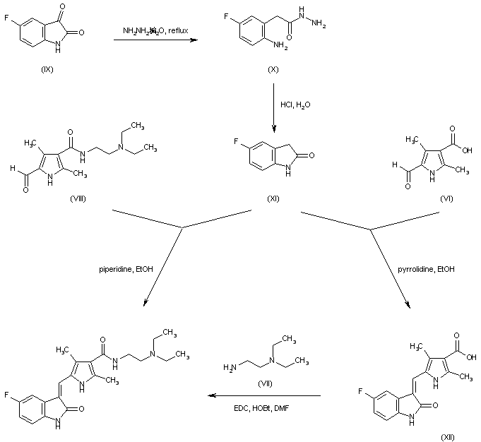
合成路线图解说明:

5-Fluoroisatin (IX) is heated with neat hydrazine hydrate to produce 2-amino-5-fluorophenylacetic hydrazide (X), which, upon acidic treatment cyclizes to 5-fluorooxindole (XI). Subsequent condensation of oxindole (XI) with the formylpyrrole carboxamide (VIII) in the presence of piperidine in hot EtOH leads to the title compound. In an alternative procedure, oxindole (XI) is condensed with the formylpyrrole carboxylic acid (VI) giving (XII), which is further coupled with 2-(diethylamino)ethylamine (VII) in the presence of EDC/HOBt to yield the target carboxamide.

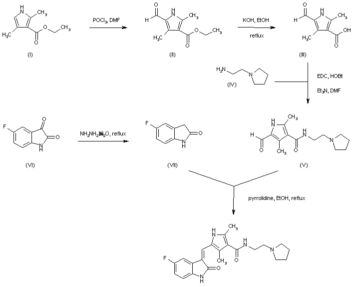
合成路线图解说明:

Vilsmeier formylation of ethyl 2,4-dimethylindole-3-carboxylate (I) by means of POCl3 and DMF leads to aldehyde (II). Subsequent ester group hydrolysis in (II) under alkaline conditions furnishes acid (III), which is then coupled to N-(2-aminoethyl)pyrrolidine (IV) employing EDC/HOBt to afford the corresponding amide (V). Chemoselective reduction of the 3-carbonyl group of 5-fluoroisatin (VI) upon heating with hydrazine hydrate gives rise to 5-fluorooxindole (VII). Finally, condensation of (VII) with aldehyde (V) under Knoevenagel conditions provides the title compound

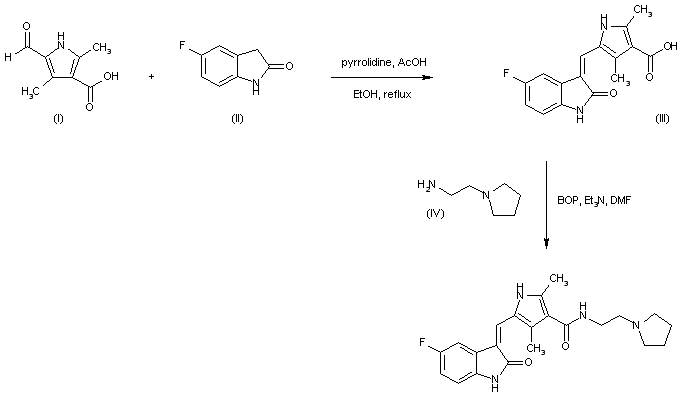
合成路线图解说明:

In a related, scale-up procedure, 5-formyl-2,4-dimethyl-1H-pyrrole-3-carboxylic acid (I) is condensed to 5-fluorooxindole (II) in the presence of pyrrolidine and AcOH to furnish adduct (III). This is then condensed with N-(2-aminoethyl)pyrrolidine (IV) in the presence of BOP to produce the target amide

Drug Information Express,Drug R&D,Chemical Database,Patent Search.
Copyright © 2006-2026 Drug Future. All rights reserved.Contact Us