【药物名称】
化学结构式(Chemical Structure):
参考文献No.641446
标题:Diarylimidazo[1,2-a]pyridine derivatives as a new class of selective COX-2 inhibitors
作者:Farrerons, C.; et al.
来源:11th RSC-SCI Med Chem Symp (Sept 9 2001, Cambridge) 2001,Abst P2
合成路线图解说明:

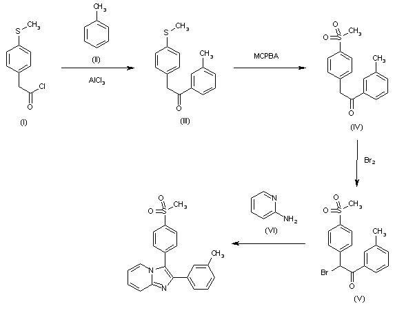
The Friedel-Crafts condensation of 2-[4-(methylsulfanyl)phenyl]acetyl chloride (I) with toluene (II) gives 1-(3-methylphenyl)-2-[4-(methylsulfanyl)phenyl]ethanone (III), which is oxidized with MCPBA to yield the corresponding sulfonyl compound (IV). The bromination of (IV) with Br2 affords the bromoethanone (V), which is finally cyclized with pyridine-2-amine (VI) to provide the target imidazopyridine compound.

Drug Information Express,Drug R&D,Chemical Database,Patent Search.
Copyright © 2006-2026 Drug Future. All rights reserved.Contact Us