【药物名称】
化学结构式(Chemical Structure):
参考文献No.44202
标题:Cell adhesion-inhibiting antiinflammatory and immune-suppressive cpds.
作者:Lynch, J.K.; Link, J.; Zhu, G.-D.; Boyd, S.A.; Winn, M.; Pei, Z.; Gunawardana, I.W.; Liu, G.; Xin, Z.; Jae, H.-S.; Freeman, J.C.; Von Geldern, T.; Staeger, M.A. (Abbott Laboratories Inc.)
来源:US 6110922; WO 0039081
合成路线图解说明:

Coupling of 4-chloro-3-nitrocinnamic acid (I) with 1-acetylpiperazine (II) using EDC gave rise to the corresponding amide (III). Displacement of the chlorine atom of (III) with 2-isopropylthiophenol (IV) in the presence of K2CO3 furnished the title thioether.

合成路线图解说明:

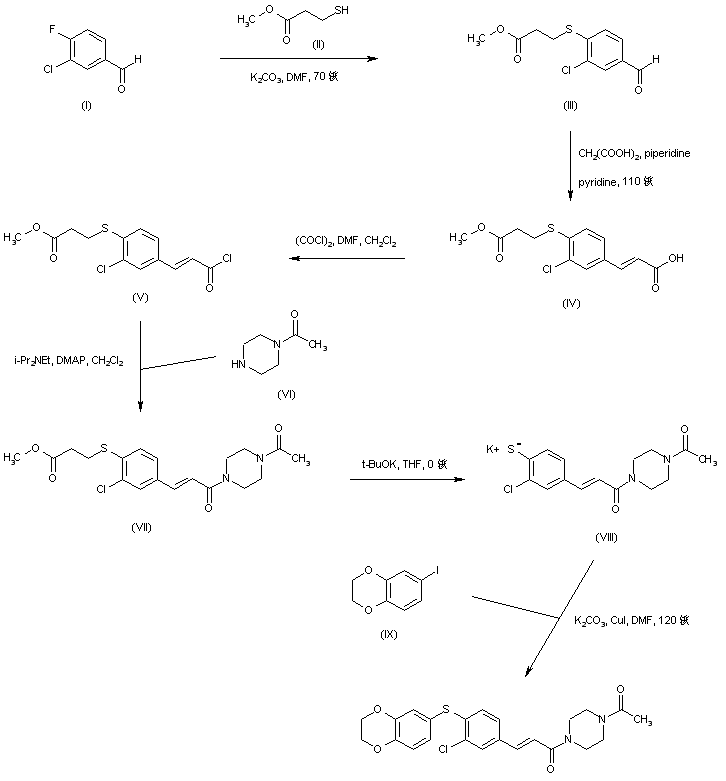
Reaction of 3,4-dichlorobenzalzehyde (I) with methyl 3-mercaptopropionate in the presence of K2CO3 in hot DMF afforded the thioether (II). Subsequent condensation of (II) with malonic acid under Knoevenagel conditions produced the substituted cinnamic acid (III), which was further converted to the corresponding acid chloride (IV) upon treatment with oxalyl chloride and a catalytic amount of DMF. Coupling of acid chloride (IV) with N-acetylpiperazine (V) furnished amide (VI). Treatment of (VI) with potassium tert-butoxide caused the elimination of methyl acrylate, producing the potassium thiolate (VII). Thiolate (VII) was then condensed with 1-methyl-7-bromoindole (VIII) to give the title compound.

合成路线图解说明:

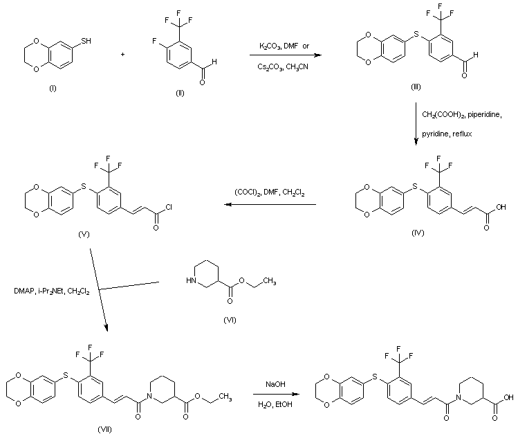
Nucleophilic substitution of 4-fluoro-3-(trifluoromethyl)benzaldehyde (II) with 6-mercaptobenzodioxan (I) afforded the sulfanyl aldehyde (III). Knoevenagel condensation of aldehyde (III) with malonic acid furnished the cinnamic acid derivative (IV), which was subsequently converted to acid chloride (V) by treatment with oxalyl chloride. Acid chloride (V) was then coupled with ethyl nipecotate (VI), yielding amide (VII). The ethyl ester group of (VII) was finally hydrolyzed using NaOH in aqueous ethanol.

合成路线图解说明:

The intermediate silyl sulfide (II) was prepared by palladium-catalyzed displacement of 5-bromo-1-methylindole (I) with potassium (triisopropylsilyl)sulfide. Alternatively, 5-iodoindole (III) was N-methylated with iodomethane and NaH, yielding 5-iodo-1-methylindole (IV), which was then reacted with potassium (triisopropylsilyl)sulfide to give (II). Condensation of silyl sulfide (II) with the aryl triflate (V) in the presence of CsF as the desilylating reagent furnished the diaryl sulfide (VI). Knoevenagel condensation of aldehyde (VI) with malonic acid (VII) gave rise to the cinnamic acid derivative (VIII). This was then coupled with ethyl isonipecotate (IX), producing amide (X). The ethyl ester of (X) was finally hydrolyzed with NaOH to yield the title sodium carboxylate salt.

合成路线图解说明:

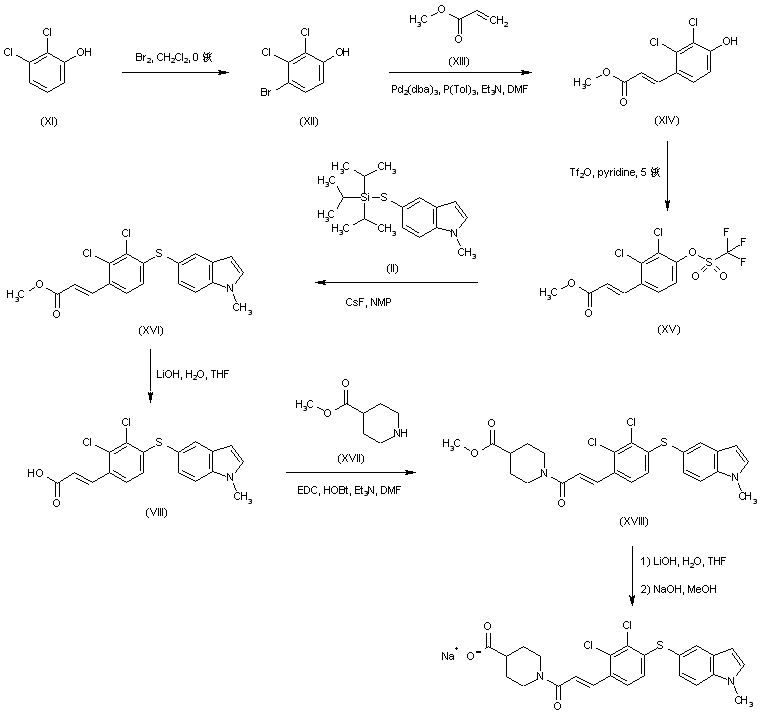
In a related method, electrophilic bromination of 2,3-dichlorophenol (XI) gave (XII). Heck reaction of bromide (XII) with methyl acrylate (XIII) produced the cinnamic acid derivative (XIV). Sulfonylation of the phenolic hydroxyl of (XIV) with trifluoromethanesulfonic anhydride in pyridine furnished the aryl triflate (XV). This was coupled with the silyl sulfide intermediate (II) in the presence of CsF to produce the diaryl sulfide (XVI). After methyl ester (XVI) hydrolysis, the resultant cinnamic acid (VIII) was coupled with methyl isonipecotate (XVII) to furnish amide (XVIII). The title compound was then obtained by methyl ester (XVIII) hydrolysis with LiOH, followed by treatment with methanolic NaOH.

参考文献No.45267
标题:Cell adhesion-inhibiting antiinflammatory and immune-suppressive cpds.
作者:Jae, H.-S.; Pei, Z.; Staeger, M.A.; Gunawardana, I.W.; Winn, M.; Freeman, J.C.; Liu, G.; Link, J.; Boyd, S.A.; Zhu, G.-D.; Von Geldern, T.W.; Xin, Z.; Lynch, J.K.; Wang, S. (Abbott Laboratories Inc.)
来源:WO 0059880
合成路线图解说明:

Reaction of 3,4-dichlorobenzalzehyde (I) with methyl 3-mercaptopropionate in the presence of K2CO3 in hot DMF afforded the thioether (II). Subsequent condensation of (II) with malonic acid under Knoevenagel conditions produced the substituted cinnamic acid (III), which was further converted to the corresponding acid chloride (IV) upon treatment with oxalyl chloride and a catalytic amount of DMF. Coupling of acid chloride (IV) with N-acetylpiperazine (V) furnished amide (VI). Treatment of (VI) with potassium tert-butoxide caused the elimination of methyl acrylate, producing the potassium thiolate (VII). Thiolate (VII) was then condensed with 1-methyl-7-bromoindole (VIII) to give the title compound.

合成路线图解说明:

Aromatic nucleophilic substitution of 3-chloro-4-fluorobenzaldehyde (I) with methyl 3-mercaptopropionate (II) yielded the mercapto aldehyde (III). This was subjected to Knoevenagel condensation with malonic acid to furnish the cinnamic acid derivative (IV), which was further converted to the corresponding acid chloride (V) by using oxalyl chloride. Condensation of acid chloride (V) with N-acetylpiperazine (VI) yielded the diacyl piperazine (VII). The protected benzenethiol of (VII) was released by treatment of the beta-mercaptopropionate (VII) with potassium tert-butoxide to give the potassium thiolate (VIII). Finally, Ullmann coupling of (VIII) with 6-iodobenzodioxan (IX) furnished the title compound.

合成路线图解说明:

Nucleophilic substitution of 4-fluoro-3-(trifluoromethyl)benzaldehyde (II) with 6-mercaptobenzodioxan (I) afforded the sulfanyl aldehyde (III). Knoevenagel condensation of aldehyde (III) with malonic acid furnished the cinnamic acid derivative (IV), which was subsequently converted to acid chloride (V) by treatment with oxalyl chloride. Acid chloride (V) was then coupled with ethyl nipecotate (VI), yielding amide (VII). The ethyl ester group of (VII) was finally hydrolyzed using NaOH in aqueous ethanol.

合成路线图解说明:

The intermediate silyl sulfide (II) was prepared by palladium-catalyzed displacement of 5-bromo-1-methylindole (I) with potassium (triisopropylsilyl)sulfide. Alternatively, 5-iodoindole (III) was N-methylated with iodomethane and NaH, yielding 5-iodo-1-methylindole (IV), which was then reacted with potassium (triisopropylsilyl)sulfide to give (II). Condensation of silyl sulfide (II) with the aryl triflate (V) in the presence of CsF as the desilylating reagent furnished the diaryl sulfide (VI). Knoevenagel condensation of aldehyde (VI) with malonic acid (VII) gave rise to the cinnamic acid derivative (VIII). This was then coupled with ethyl isonipecotate (IX), producing amide (X). The ethyl ester of (X) was finally hydrolyzed with NaOH to yield the title sodium carboxylate salt.

合成路线图解说明:

In a related method, electrophilic bromination of 2,3-dichlorophenol (XI) gave (XII). Heck reaction of bromide (XII) with methyl acrylate (XIII) produced the cinnamic acid derivative (XIV). Sulfonylation of the phenolic hydroxyl of (XIV) with trifluoromethanesulfonic anhydride in pyridine furnished the aryl triflate (XV). This was coupled with the silyl sulfide intermediate (II) in the presence of CsF to produce the diaryl sulfide (XVI). After methyl ester (XVI) hydrolysis, the resultant cinnamic acid (VIII) was coupled with methyl isonipecotate (XVII) to furnish amide (XVIII). The title compound was then obtained by methyl ester (XVIII) hydrolysis with LiOH, followed by treatment with methanolic NaOH.

参考文献No.643492
标题:Discovery of novel p-arylthio cinnamides as antagonists of leukocyte function-associated antigen-1/intercellular adhesion molecule-1 interaction. 4. Structure-activity relationships of substituents on the benzene ring of the cinnamide
作者:Winn, M.; Reilly, E.B.; Liu, G.; Huth, J.R.; Jae, H.S.; Freeman, J.; Pei, Z.; Xin, Z.; Lynch, J.J.; Kester, J.; von Geldern, T.W.; Leitza, S.; DeVries, P.; Dickinson, R.P.; Mussatto, D.; Okasinski, G.F.
来源:J Med Chem 2001,44(25),4393
合成路线图解说明:

The intermediate silyl sulfide (II) was prepared by palladium-catalyzed displacement of 5-bromo-1-methylindole (I) with potassium (triisopropylsilyl)sulfide. Alternatively, 5-iodoindole (III) was N-methylated with iodomethane and NaH, yielding 5-iodo-1-methylindole (IV), which was then reacted with potassium (triisopropylsilyl)sulfide to give (II). Condensation of silyl sulfide (II) with the aryl triflate (V) in the presence of CsF as the desilylating reagent furnished the diaryl sulfide (VI). Knoevenagel condensation of aldehyde (VI) with malonic acid (VII) gave rise to the cinnamic acid derivative (VIII). This was then coupled with ethyl isonipecotate (IX), producing amide (X). The ethyl ester of (X) was finally hydrolyzed with NaOH to yield the title sodium carboxylate salt.

Drug Information Express,Drug R&D,Chemical Database,Patent Search.
Copyright © 2006-2026 Drug Future. All rights reserved.Contact Us