【药物名称】
化学结构式(Chemical Structure):
参考文献No.40174
标题:Glucocorticoid-selective anti-inflammatory agents
作者:Wang, A.X.; Kym, P.R.; Jones, T.K.; Kort, M.E.; Edwards, J.P.; Moore, J.L.; Elmore, S.W.; Coughlan, M.J.; Pratt, J.K. (Abbott Laboratories Inc.; Ligand Pharmaceuticals, Inc.)
来源:EP 1053239; WO 9941256
合成路线图解说明:

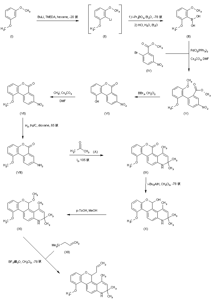
Resorcinol dimethyl ether (I) was metallated with n-butyllithium and the resultant organolithium compound (II) was treated with triisopropyl borate to provide, after acidic hydrolysis, boronic acid (III). Suzuki coupling of boronic acid (III) with methyl 5-nitro-2-bromobenzoate (IV) furnished biphenyl (V). Cleavage of the methyl ether groups of (V) with concomitant lactonization in the presence of BBr3 produced the benzocoumarin (VI), which was further O-methylated with iodomethane to afford the methyl ether (VII). The reduction of the nitro group of (VII) by catalytic hydrogenation over Pd/C gave amine (VIII). This was converted to the quinoline derivative (IX) via a modified Skraup ring annulation with acetone and a catalytic amount of iodine. Addition of the organolithium reagent (X) (prepared from 3-(methoxymethoxy)phenyl bromide) to the lactone (IX) provided the cyclic hemiketal (XI). The methoxymethyl protecting group was then cleaved under acidic conditions to afford diol (XII).

合成路线图解说明:

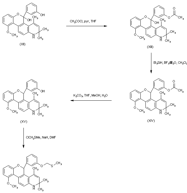
Acylation of (XII) with acetyl chloride and pyridine afforded the phenyl acetate (XIII). Deoxygenation of the tertiary hydroxyl group of (XIII) using triethylsilane and boron trifluoride etherate gave (XIV). After hydrolysis of the acetate ester of (XIV), the resulting phenol (XV) was alkylated with chloromethyl methyl sulfide to furnish the title compound.

合成路线图解说明:

Lithiation of 1,3-dimethoxybenzene (I), followed by addition of triisopropyl borate to the resultant lithio derivative (II) provided boronic acid (III). This was subjected to palladium-catalyzed Suzuki coupling with methyl 5-nitro-2-bromobenzoate (IV) to afford the biphenyl compound (V). Cleavage of the methyl ethers of (V) using boron tribromide gave rise to the tricyclic lactone (VI). After methylation of the hydroxyl group of (VI) with iodomethane and cesium carbonate, the resultant nitro derivative (VII) was reduced to amine (VIII) by catalytic hydrogenation. Iodine-catalyzed condensation of amine (VIII) with acetone at 105 篊 in a sealed vessel furnished the benzopyranoquinoline system (IX). The lactone function of (IX) was then reduced to the corresponding lactol (X) by means of DIBAL in cold dichloromethane. Subsequent treatment of (X) with methanol and p-toluenesulfonic acid produced acetal (XI). The acetal methoxy group of (XI) was finally displaced with allyl trimethylsilane (XII) in the presence of boron trifluoride etherate to furnish the title allyl derivative

参考文献No.311838
标题:Single dose pharmacokinetics of bosentan in healthy man
作者:Halbeisen, S.; Schmitt, R.; Birnb鯿k, H.; Hopfgartner, G.; Van Marle, S.P.; Weber, C.
来源:4th Int Conf Endothelin (April 23 1995, London) 1995,Abst P131
合成路线图解说明:

Lithiation of 1,3-dimethoxybenzene (I), followed by addition of triisopropyl borate to the resultant lithio derivative (II) provided boronic acid (III). This was subjected to palladium-catalyzed Suzuki coupling with methyl 5-nitro-2-bromobenzoate (IV) to afford the biphenyl compound (V). Cleavage of the methyl ethers of (V) using boron tribromide gave rise to the tricyclic lactone (VI). After methylation of the hydroxyl group of (VI) with iodomethane and cesium carbonate, the resultant nitro derivative (VII) was reduced to amine (VIII) by catalytic hydrogenation. Iodine-catalyzed condensation of amine (VIII) with acetone at 105 篊 in a sealed vessel furnished the benzopyranoquinoline system (IX). The lactone function of (IX) was then reduced to the corresponding lactol (X) by means of DIBAL in cold dichloromethane. Subsequent treatment of (X) with methanol and p-toluenesulfonic acid produced acetal (XI). The acetal methoxy group of (XI) was finally displaced with allyl trimethylsilane (XII) in the presence of boron trifluoride etherate to furnish the title allyl derivative

Drug Information Express,Drug R&D,Chemical Database,Patent Search.
Copyright © 2006-2026 Drug Future. All rights reserved.Contact Us