【药物名称】
化学结构式(Chemical Structure):
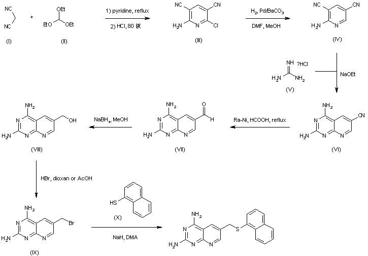
参考文献No.644109
标题:Synthesis of 2,4-diamino-6-(thioarylmethyl)pyrido [2,3-d]pyrimidines as dihydrofolate reductase inhibitors
作者:Gangjee, A.; Adair, O.; Queener, S.F.
来源:Bioorg Med Chem 2001,9(11),2929
合成路线图解说明:

Pyridine (III) was prepared by condensation of malononitrile (I) with triethyl orthoformate (II) in refluxing pyridine, followed by treatment with concentrated HCl. Dechlorination of (III) was effected by hydrogenolysis in the presence of Pd on BaCO3. The dechlorinated pyridine dinitrile (IV) was cyclized with guanidine (V), yielding the pyridopyrimidine (VI). Reduction of the nitrile function of (VI) to aldehyde (VII) was carried out using formic acid and Raney-Ni. This was further reduced to alcohol (VIII) with NaBH4. Bromination of the alcohol (VIII) by means of HBr resulted in bromide (IX). Nucleophilic displacement of the bromide group of (IX) with the sodium salt of 1-naphthalenethiol (X) afforded the target sulfide.

Drug Information Express,Drug R&D,Chemical Database,Patent Search.
Copyright © 2006-2026 Drug Future. All rights reserved.Contact Us