【药物名称】
化学结构式(Chemical Structure):
参考文献No.644104
标题:Synthesis and anti-HIV activity of cosalane analogues incorporating two dichlorodisalicylmethane pharmacophore fragments
作者:Casimiro-Garcia, A.; De clercq, E.; Pannecouque, C.; Witvrouw, M.; Loftus, T.L.; Turpin, J.A.; Buckheit, R.W. Jr.; Fanwick, P.E.; Cushman, M.
来源:Bioorg Med Chem 2001,9(11),2827
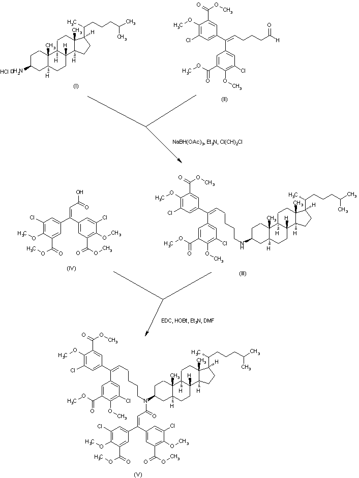
合成路线图解说明:

Reductive alkylation of 3-beta-aminocholestane (I) with the known aldehyde (II) using sodium triacetoxyborohydride provided the secondary amine (III). This was then coupled with carboxylic acid (IV) in the presence of EDC and HOBt to afford the corresponding amide (V).

合成路线图解说明:

Finally, basic hydrolysis of the methyl ester groups of (V) gave rise to the title compound.

Drug Information Express,Drug R&D,Chemical Database,Patent Search.
Copyright © 2006-2026 Drug Future. All rights reserved.Contact Us