【药物名称】
化学结构式(Chemical Structure):
参考文献No.644086
标题:Identification of a novel family of nucleosides that specifically inhibit HIV-1 reverse transcriptase
作者:Chamorro, C.; Lobat髇, E.; Bonache, M.-C.; De Clercq, E.; Balzarini, J.; Vel醶quez, S.; San-F閘ix, A.; Camarasa, M.-J.
来源:Bioorg Med Chem Lett 2001,11(23),3085
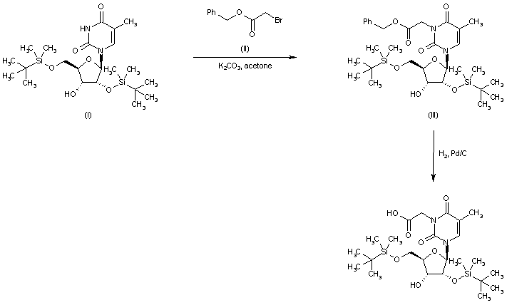
合成路线图解说明:

Alkylation of the previously reported 2',5'-bis-silylated nucleoside (I) with benzyl bromoacetate (II) in the presence of K2CO3 in acetone provided the N-3-substituted derivative (III). The benzyl ester group was then removed by catalytic hydrogenation over Pd/C to furnish the target carboxylic acid.

Drug Information Express,Drug R&D,Chemical Database,Patent Search.
Copyright © 2006-2026 Drug Future. All rights reserved.Contact Us