【药物名称】MC-04,124
化学结构式(Chemical Structure):
参考文献No.645170
标题:Conformationally restricted analogs of efflux pump inhibitors that potentiate the activity of levofloxacin in Pseudomonas aeruginosa
作者:Renau, T.E.; et al.
来源:41st Intersci Conf Antimicrob Agents Chemother (Dec 16 2001, Chicago) 2001,Abst F-341
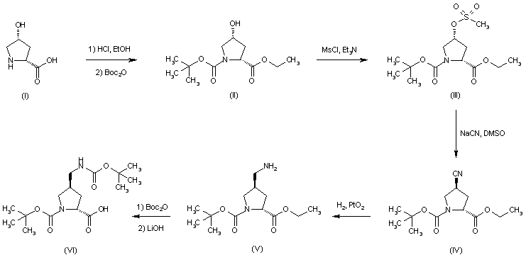
合成路线图解说明:

The protected amino acid precursor (VI) was synthesized as follows. cis-4-Hydroxy-D-proline (I) was esterified with EtOH/HCl and subsequently protected as the N-Boc derivative (II). Treatment of (II) with methanesulfonyl chloride and triethylamine afforded the corresponding mesylate (III), which was displaced with NaCN in DMSO to produce nitrile (IV). Reduction of nitrile (IV) to the primary amine (V) was effected by catalytic hydrogenation over PtO2. Acylation of the free amino group of (V) with Boc2O, followed by basic hydrolysis of the ethyl ester, furnished the di-Boc-protected (aminomethyl)proline (VI).

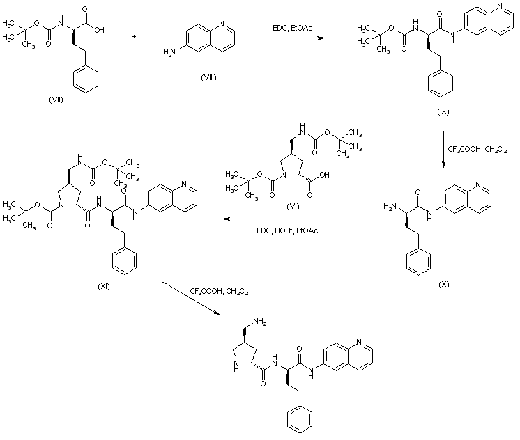
合成路线图解说明:

Coupling of N-Boc-D-benzylalanine (VII) and 6-aminoquinoline (VIII) by means of EDC provided amide (IX). After trifluoroacetic acid-promoted Boc group cleavage in (IX), the resultant amino amide (X) was coupled with the proline derivative (VI), yielding (XI). The Boc protecting groups of (XI) were finally removed by treatment with trifluoroacetic acid.

Drug Information Express,Drug R&D,Chemical Database,Patent Search.
Copyright © 2006-2026 Drug Future. All rights reserved.Contact Us