【药物名称】
化学结构式(Chemical Structure):
参考文献No.642998
标题:The discovery of anthranilic acid-based MMP inhibitors: Part 3: Incorporation of basic amines
作者:Levin, J.I.; Chen, J.M.; Du, M.T.; Nelson, F.C.; Wehr, T.; DiJoseph, J.F.; Killar, L.M.; Skala, S.; Sung, A.; Sharr, M.A.; Roth, C.E.; Jin, G.; Cowling, R.; Di, L.; Sherman, M.; Xu, Z.B.; March, C.J.; Mohler, K.M.; Black, R.A.; Skotnicki, J.S.
来源:Bioorg Med Chem Lett 2001,11(22),2975
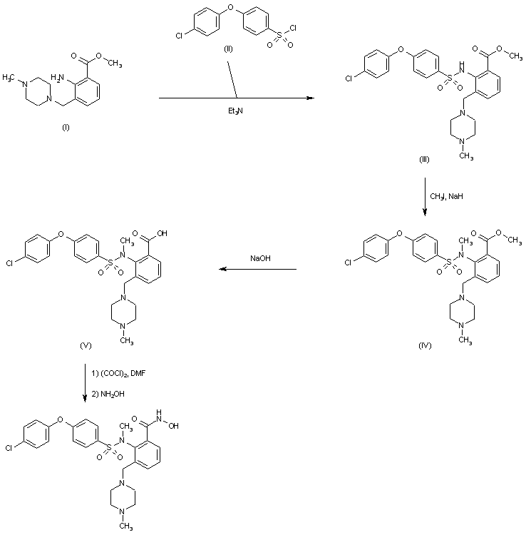
合成路线图解说明:

Acylation of anthranilate (I) with 4-(4-chlorophenoxy)phenylsulfonyl chloride (II) provided the sulfonamide (III). Subsequent alkylation of the sulfonamide N of (III) with iodomethane yielded the N-methyl derivative (IV). Selective ester hydrolysis of (IV) with NaOH afforded the carboxylic acid (V). This was finally converted to the target hydroxamic acid via activation with oxalyl chloride, followed by treatment with hydroxylamine.

Drug Information Express,Drug R&D,Chemical Database,Patent Search.
Copyright © 2006-2026 Drug Future. All rights reserved.Contact Us