【药物名称】L-796449
化学结构式(Chemical Structure):
参考文献No.33970
标题:Antidiabetic agents
作者:Adams, A.L.; Berger, G.D.; Bergman, J.P.; Berger, J.P.; Han, W.; Leibowitz, M.D.; Moller, D.E.; Santini, C.; Sahoo, S.; Tolman, R.L.; Young, J.R. (Merck & Co., Inc.)
来源:EP 0904079; JP 2002515865; US 5859051; WO 9727857
合成路线图解说明:

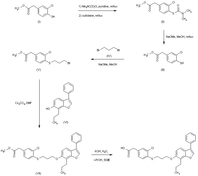
Condensation of methyl 3-chloro-4-hydroxyphenylacetate (I) with N,N-dimethylthiocarbamoyl chloride, followed by thermal rearrangement in refluxing sulfolane leads to the thiocarbamate (II). Hydrolysis of (II) with NaOMe affords thiophenol (III), which is alkylated with 1,3-dibromopropane (IV) furnishes the bromopropyl thioether (V) (2). This is then condensed with the hydroxybenzofuran (VI) in the presence of Cs2CO3 yielding adduct (VII). Finally, saponification of the methyl ester group of (VII) with KOH furnishes the target carboxylic acid (1,2).

合成路线图解说明:

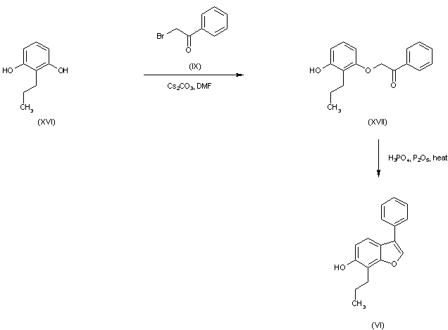
Alternatively, condensation of 2-propylresorcinol (XVI) with phenacyl bromide (IX) in the presence of Cs2CO3 affords ketone (XVII). Subsequent Friedel-Crafts cyclization of (XVII) upon heating in H3PO4/P2O5 furnishes benzofuran (VI).

参考文献No.725737
标题:Phenylacetic acid derivatives as hPPAR agonists
作者:Santini, C.; Berger, G.D.; Han, W.; Mosley, R.; MacNaul, K.; Berger, J.; Doebber, T.; Wu, M.; Moller, D.E.; Tolman, R.L.; Sahoo, S.P.
来源:Bioorg Med Chem Lett 2003,13(7),1277
合成路线图解说明:

Condensation of methyl 3-chloro-4-hydroxyphenylacetate (I) with N,N-dimethylthiocarbamoyl chloride, followed by thermal rearrangement in refluxing sulfolane leads to the thiocarbamate (II). Hydrolysis of (II) with NaOMe affords thiophenol (III), which is alkylated with 1,3-dibromopropane (IV) furnishes the bromopropyl thioether (V) (2). This is then condensed with the hydroxybenzofuran (VI) in the presence of Cs2CO3 yielding adduct (VII). Finally, saponification of the methyl ester group of (VII) with KOH furnishes the target carboxylic acid (1,2).

合成路线图解说明:

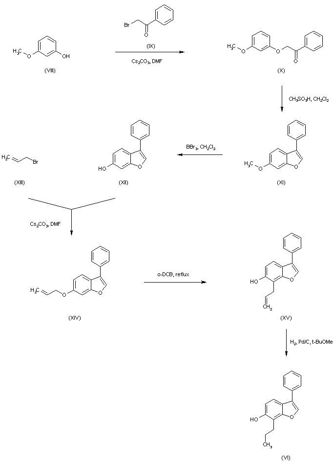
The intermediate benzofuran (VI) is prepared by two alternative ways. Condensation of 3-methoxyphenol (VIII) with phenacyl bromide (IX) produces ketone (X), which is further cyclized to benzofuran (XI) in the presence of methanesulfonic acid. Demethylation of (XI) to give phenol (XII) is then accomplished employing BBr3 in CH2Cl2. After alkylation of (XII) with allyl bromide (XIII), the resultant allyl ether (XIV) is rearranged in hot ortho-dichlorobenzene to the ortho-allyl phenol compound (XV). Subsequent reduction of the allyl group of (XV) with H2 and Pd/C provides intermediate (VI).

Drug Information Express,Drug R&D,Chemical Database,Patent Search.
Copyright © 2006-2026 Drug Future. All rights reserved.Contact Us