【药物名称】AR-R25859
化学结构式(Chemical Structure):
参考文献No.642987
标题:Identification of a series of PPARgamma/delta dual agonists via solid-phase parallel synthesis
作者:Liu, K.G.; Lambert, M.H.; Leesnitzer, L.M.; Oliver, W. Jr.; Ott, R.J.; Plunket, K.D.; Stuart, L.W.; Brown, P.J.; Willson, T.M.; Sternbach, D.D.
来源:Bioorg Med Chem Lett 2001,11(22),2959
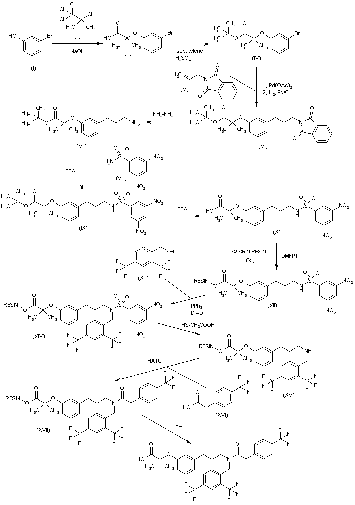
合成路线图解说明:

The reaction of 3-bromophenol (I) with 2,2,2-trichloro-1,1-dimethylethanol (II) by means of NaOH in acetone gives 2-(3-bromophenoxy)-2-methylpropionic acid (III), which is esterified with isobutylene and H2SO4, yielding the corresponding tert-butyl ester (IV). The condensation of (IV) with N-allylphthalimide (V) by means of Pd(OAc)2, tri(o-tolyl)phosphine and DIEA in acetonitrile, followed by hydrogenation with H2 over Pd/C, affords the adduct (VI). The reaction of (VI) with hydrazine in refluxing ethanol cleaves the phthalimido group to provide the amino derivative (VII), which is treated with 3,5-dinitrophenylsulfonyl chloride (VIII) and TEA in dichloromethane to give the sulfonamide (IX). The cleavage of the tert-butyl ester group of (IX) with TFA in dichloromethane yields the carboxylic acid (X), which is esterified with SASRIN resin (XI) by means of 1,3-dimethyl-2-fluoro p-toluenesulfonate (DMFPT) in dichloromethane to afford the resin-anchored polyester (XII). The N-alkylation of (XII) with 2,4-bis(trifluoromethyl)benzyl alcohol (XIII) by means of PPh3 and DIAD in THF provides the disubstituted sulfonamide (XIV). The cleavage of the sulfonamido group of (XIV) by means of mercaptoacetic acid and TEA in dichloromethane gives the resin-bound secondary amine (XV), which is acylated with 2-[4-(trifluoromethyl)phenyl]acetic acid (XVI) by means of HATU and DIEA to yield the acetamide precursor (XVII). Finally, the title product is cleaved from the resin (XVII) by treatment with TFA in dichloromethane.

Drug Information Express,Drug R&D,Chemical Database,Patent Search.
Copyright © 2006-2026 Drug Future. All rights reserved.Contact Us