【药物名称】
化学结构式(Chemical Structure):
参考文献No.27422
标题:Substd. morpholine derivs. and their use as therapeutic agents
作者:Baker, R.; Harrison, T.; Mcleod, A.M.; Owens, A.P.; Seward, E.M.; Swain, C.J.; Teall, M.R. (Merck Sharp & Dohme Ltd.)
来源:EP 0737192; EP 1099702; JP 1997507484; JP 2000219629; US 5612337; WO 9518124
合成路线图解说明:

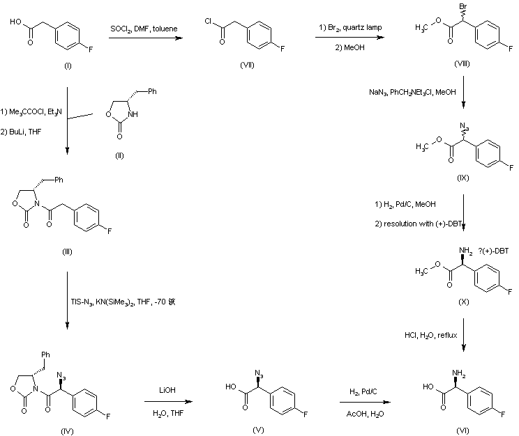
The first method required the chiral building block (S)-(4-fluorophenyl)glycine (VI), which was prepared from 4-fluorophenyl acetic acid (I) by two routes. Condensation of (I) with (S)-4-benzyl-2-oxazolidinone (II), via activation as the corresponding mixed anhydride with pivaloyl chloride, furnished the N-acyl oxazolidinone (III). The potassium enolate of (III) was then reacted with 2,4,6-triisopropylphenylsulfonyl azide, producing stereoselectively azide (IV). Hydrolytic removal of the chiral auxiliary of (IV) gave (S)-azido-(4-fluorophenyl)acetic acid (V), which was then reduced to the desired amino acid (VI) by catalytic hydrogenation over Pd/C. Alternatively, 4-fluorophenyl acetic acid (I) was converted to the corresponding acid chloride (VII) with SOCl2. Bromination of (VII) under Hell-Volhard-Zelinskii conditions, followed by quenching with MeOH, afforded the racemic alpha-bromo ester (VIII). Displacement of the bromide of (VIII) with NaN3 using a phase-transfer catalyst produced the azido ester (IX). Catalytic hydrogenation of the azido group of (IX) gave the racemic amino ester, which was resolved via formation of the diastereomeric salts with (+)-dibenzoyltartaric acid. The desired (S)-amino ester (X) was then hydrolyzed to (VI) under acidic conditions.

合成路线图解说明:

Reductive alkylation of (S)-(4-fluorophenyl)glycine (VI) with benzaldehyde and NaBH4 generated the N-benzyl amino acid (XI). This was cyclized with 1,2-dibromoethane (XII) to yield the morpholinone (XIII). Reduction of the lactone function of (XIII) with L-Selectride at -70 C, followed by acylation of the intermediate lactol (XIV) with 3,5-bis(trifluoromethyl)benzoyl chloride (XV), furnished the aroyloxy morpholine (XVI) as the main isomer. Ester (XVI) was converted to the enol ether (XVII) upon treatment with dimethyltitanocene, generated from titanocene dichloride and methyllithium. Catalytic hydrogenation of the enol ether double bond of (XVII) with simultaneous benzyl group hydrogenolysis generated the desired morpholine (XVIII) along with its diastereoisomer (XIX); these were separated by flash chromatography.

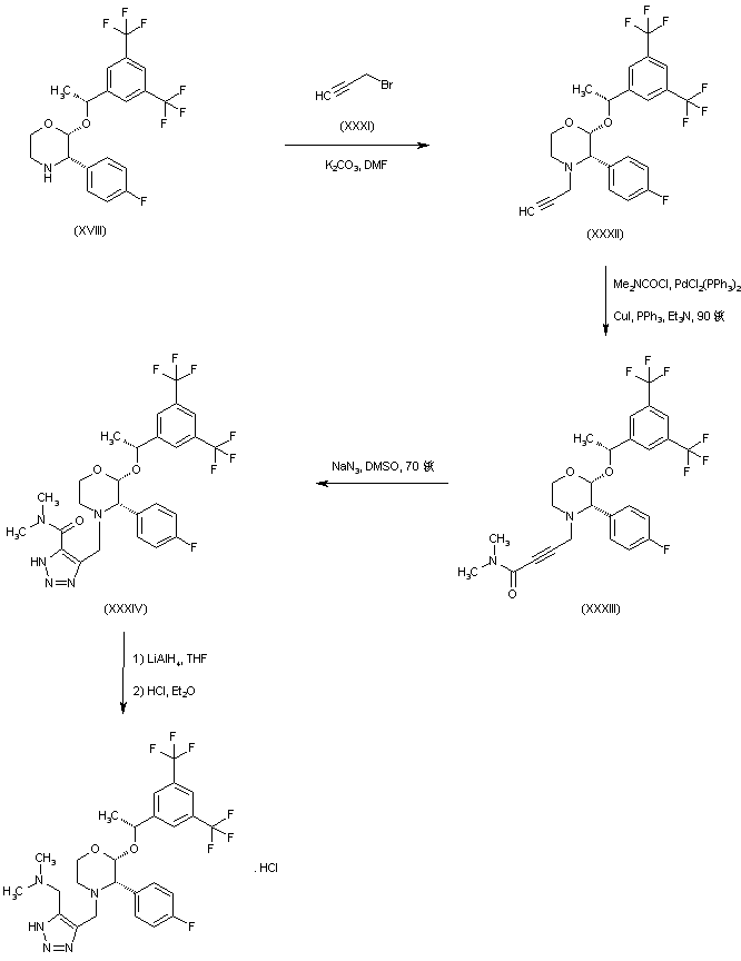
合成路线图解说明:

From the intermediate morpholine (XVIII) the title compound was obtained by several routes. Alkylation of (XVIII) with propargyl bromide (XXXI) gave the N-propargyl morpholine (XXXII). Palladium-catalyzed addition of N,N-dimethylcarbamoyl chloride to the propargyl group of (XXXII) produced the butynamide derivative (XXXIII). The target triazole system (XXXIV) was obtained by dipolar cycloaddition of NaN3 to the acetylenic triple bond of (XXXIII) in hot DMSO. Finally, amide reduction in (XXXIV) with LiAlH4 led to the title dimethylaminomethyl triazole, which was isolated as the hydrochloride salt.

合成路线图解说明:

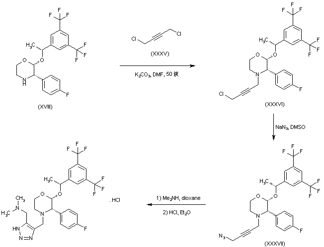
Alternatively, morpholine (XVIII) was alkylated with 1,4-dichloro-2-butyne (XXXV) in the presence of K2CO3 to afford the propargyl chloride (XXXVI). Displacement of the chloride of (XXXVI) with sodium azide in DMSO gave the propargylic azide (XXXVII). The title triazole was then produced via isomerization and cyclization of azide (XXXVII) upon heating with dimethylamine in a sealed tube.

参考文献No.49154
标题:Polymorphic form of a tachykinin receptor antagonist
作者:Wang, J.; Crocker, L.; Cai, D. (Merck & Co., Inc.)
来源:WO 0132656
合成路线图解说明:

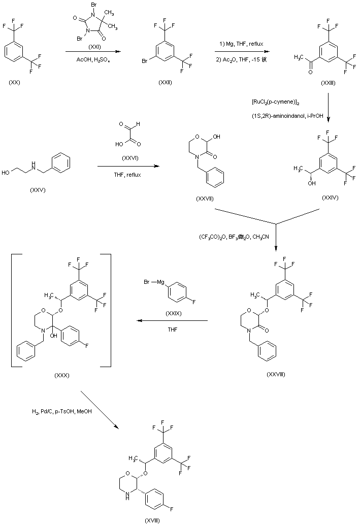
In an alternative route to morpholine (XVIII), bromination of 1,3-bis(trifluoromethyl)benzene (XX) by means of 1,3-dibromo-5,5-dimethylhydantoin (XXI) yielded bromide (XXII). The Grignard reagent prepared from aryl bromide (XXII) was acylated with acetic anhydride at -15 C to produce acetophenone (XXIII). Enantioselective reduction of ketone (XXIII) with ruthenium(II) chloride in the presence of (1S,2R)-cis-1-amino-2-indanol furnished the (R)-alcohol (XXIV). N-Benzyl ethanolamine (XXV) was condensed with glyoxylic acid (XXVI) to give the hydroxy oxazinone (XXVII). This was coupled with the chiral alcohol (XXIV) using trifluoroacetic anhydride and boron trifluoride etherate to afford the target (R,R)-adduct (XXVIII) as the main diastereoisomer. Addition of 4-fluorophenylmagnesium bromide (XXIX) to the lactam function of (XXVIII), followed by catalytic hydrogenation of the intermediate (XXX), provided the required disubstituted morpholine (XVIII).

合成路线图解说明:

In a further method, the acetylide resulting from N,N-dimethyl propargylamine (XXXVIII) and either BuLi or ethylmagnesium chloride was formylated by means of N-methyl formanilide (XXXIX), producing the unstable acetylenic aldehyde (XL), which was immediately subjected to dipolar cycloaddition with sodium azide to furnish 4-(dimethylaminomethyl)-5-formyl-1,2,3-triazole (XLI). The title compound was then obtained by reductive condensation of morpholine (XVIII) with aldehyde (XLI) in the presence of sodium triacetoxyborohydride.

参考文献No.641466
标题:An orally active, water-soluble neurokinin-1 receptor antagonist suitable for both intravenous and oral clinical administration
作者:Williams, B.J.; Owens, A.P.; Harrison, T.; Swain, C.J.; Williams, A.R.; Carlson, E.J.; Rycroft, W.; Tattersall, F.D.; Cascieri, M.A.; Chicchi, G.G.; Sadowski, S.; Rupniak, N.M.; Hargreaves, R.J.
来源:J Med Chem 2001,44(24),4296
合成路线图解说明:

Alternatively, morpholine (XVIII) was alkylated with 1,4-dichloro-2-butyne (XXXV) in the presence of K2CO3 to afford the propargyl chloride (XXXVI). Displacement of the chloride of (XXXVI) with sodium azide in DMSO gave the propargylic azide (XXXVII). The title triazole was then produced via isomerization and cyclization of azide (XXXVII) upon heating with dimethylamine in a sealed tube.

Drug Information Express,Drug R&D,Chemical Database,Patent Search.
Copyright © 2006-2026 Drug Future. All rights reserved.Contact Us