【药物名称】
化学结构式(Chemical Structure):
参考文献No.641996
标题:A prodrug from of a Plasmodium falciparum glutathione reductase inhibitor conjugated with a 4-anilinoquinoline
作者:Davioud-Chervet, E.; Delarue, S.; Biot, C.; Schwobel, B.; Boehme, C.C.; Mussigbrodt, A.; Maes, L.; Sergheraert, C.; Grellier, P.; Schirmer, R.H.; Becker, K.
来源:J Med Chem 2001,44(24),4268
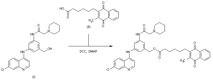
合成路线图解说明:

The title ester is obtained by condensation of benzyl alcohol (I) with the hexanoic acid (II) by means of DCC and DMAP in dichloromethane.

Drug Information Express,Drug R&D,Chemical Database,Patent Search.
Copyright © 2006-2026 Drug Future. All rights reserved.Contact Us